Через какое время после начала движения
Пример решения задачи 10006
Условие Тело брошено под углом α=30° к горизонту со скоростью v
0=30 м/с. Каковы будут нормальное α
n и тангенциальное α
τ ускорения тела через время t=1 с после начала движения?
Краткое условие
α = 30°
v
0 = 30 м/с
t = 1 c
Найти
a
n ― ?
a
τ ― ?
Решение
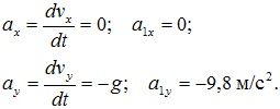
Составляющие скорости в начальный момент времени:

По горизонтали на тело не действуют силы.

На основании первого закона Ньютона оно движется с постоянной скоростью

По вертикали на тело действует сила тяжести и скорость изменяется по закону

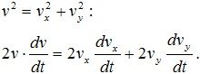
В момент времени t составляющие скорости имеют значения:

Определяем составляющие ускорения тела:

Продифференцируем равенство

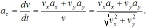
Отсюда найдем тангенциальное ускорение:

В момент времени t

Полное ускорение:

Нормальное ускорение:
Ответ: a
n = 9,6 м/с
2; a
τ = –1,9 м/с
2.
40529
Зависимость пройденного телом пути от времени задается уравнением S = A + Bt + Ct2 + Dt3. Через какое время после начала движения ускорение тела будет равно 1 м/с2? Чему равно среднее ускорение тела за этот промежуток времени?
40689
Материальная точка движется в соответствии с уравнением S = 5t + 2t2. Найти скорость материальной точки через две секунды после начала движения.
40792
Тело брошено вертикально вверх со скоростью 20 м/с. Через сколько времени от начала движения оно упадет обратно? На какую высоту оно поднимется? Найдите перемещение и путь тела за 4 секунды движения.
14421
Тело 1 движется равноускоренно, имея начальную скорость v10 и ускорение a1. Одновременно с телом 1 начинает двигаться равнозамедленно тело 2, имея начальную скорость v20 и ускорение а2. Через какое время t после начала движения оба тела будут иметь одинаковую скорость?
14423
Зависимость пройденного телом пути s от времени t дается уравнением s = At–Bt2+Сt3, где А = 2 м/с, В = 3 м/с2 и C = 4 м/с3. Найти: а) зависимость скорости v и ускорения а от времени t; б) расстоянием, пройденное телом, скорость v и ускорение а тела через время t = 2 с после начала движения. Построить график зависимости пути s, скорости v и ускорения а от времени t для интервала 0 < t < 3 с через 0,5с.
14430
Камень, брошенный горизонтально, через время t = 0,5 с после начала движения имел скорость v, в 1,5 раза большую скорости vx в момент бросания. С какой скоростью vx был брошен камень?
14452
Точка движется по окружности радиусом R = 20 см с постоянным тангенциальным ускорением aτ = 5 см/с2. Через какое время t после начала движения нормальное ускорение an точки будет: а) равно тангенциальному; б) вдвое больше тангенциального?
23619После выключения двигателей подводная лодка в течение первых 15 секунд, замедляясь, движется прямолинейно в положительном направлении оси Ох с ускорением а, проекция которого изменяется по закону

, где v
0 = 10 м/с — скорость лодки в начале торможения, τ
0 = 10 с — характерный временной параметр движения. Требуется ответить на вопросы: 1. За какое время скорость лодки уменьшится в два раза? 2. Какое расстояние при этом пройдет лодка?
10992
Из одного и того же места начали равноускоренно двигаться в одном направлении две точки, причем вторая начала свое движение через 2 с после первой. Первая точка двигалась с начальной скоростью v1 = 1 м/с и ускорением a1 = 2 м/с2, вторая — с начальной скоростью v2 = 10 м/с и ускорением а2 = 1 м/с2. Через сколько времени и на каком расстоянии от исходного положения вторая точка догонит первую?
40876
Материальная точка движется прямолинейно. Ускорение материальной точки изменяется по закону а = А+Вt+Сt2, где А, В, С — постоянные величины. Какой скорости достигнет материальная точка через t с после начала движения из состояния покоя? Какой путь пройдет она за это время? А = 6, В = 10, С = 8, t = 0,5.
14479
Тело массой m = 0,5 кг движется так, что зависимость пройденного телом пути s от времени t дается уравнением s = A sin ω∙t, где А = 5 см и ω = π рад/с. Найти силу F, действующую на тело через время t = 1/6 c после начала движения.
14484
Трамвай, трогаясь с места, движется с ускорением а = 0,5 м/с2. Через время t = 12 с после начала движения мотор выключается и трамвай движется до остановки равнозамедленно. Коэффициент трения на всем пути k = 0,01. Найти наибольшую скорость v и время t движения трамвая. Каково его ускорение a при его равнозамедленном движении? Какое расстояние s пройдет трамвай за время движения?
23829
При падении тела с большой высоты его максимальная скорость 80 м/с. Через какое время от начала падения скорость тела станет 40 м/с? Силу сопротивления воздуха принять пропорциональной скорости движения тела.
11613
Автомобильная шина накачана до давления p1 = 220 кПа при температуре T1 = 290 К. Во время движения она нагрелась до температуры T2 = 330 К и лопнула. Считая процесс, происходящий после повреждения шины, адиабатным, определить изменение температуры ΔT вышедшего из нее воздуха. Внешнее давление р0 воздуха равно 100 кПа.
26702
Прямолинейное движение материальной точки описывается уравнением: х = А + Вt + Ct2, где A = 5 м; B = –8 м/с; C = 4 м/с2. Считая массу равной 2 кг, определить импульс точки через 2 и 4 с после начала отсчета времени, а также силу, вызвавшую это изменение импульса.
11461
Зависимость координаты тела от времени задана уравнением x = At+Bt2+Ct3, где A = 12 м/c, B = -3 м/с2, C = -4 м/c3. Найти в явном виде зависимость скорости и ускорения от времени; расстояние, пройденное телом, мгновенные скорость и ускорение тела через 2 секунды после начала движения; среднюю скорость за промежуток времени от t1 = 2c до t2 = 5с.
11987
Маховик, имеющий радиус R = 0,2 м и массу m = 10 кг , соединен с мотором ремнем. Ремень не скользит, натяжение его постоянно и равно T = 14,7 Н. Какое количество оборотов в секунду сделает маховик через Δt = 10 с после начала движения? Маховик считайте однородным диском. Трением пренебречь.
12011
Масса поезда равна 3000 т. Коэффициент трения равен 0,02. Какова должна быть сила тяги локомотива, чтобы поезд набрал скорость 60 км/ч через 2 минуты после начала движения?
13120
Из одной и той же точки начали равноускоренно двигаться в одном направлении два тела, причем второе начало свое движение через 1 с после первой. Первое тело двигалось с начальной скоростью v1 = 1 м/с и ускорением a1 = 2 м/с2, второе — с начальной скоростью v2 = 10 м/с и ускорением а2 = 1 м/с2. Через сколько времени и на каком расстоянии от исходного положения второе тело догонит первое?
13932
Каким должен быть коэффициент трения колес автомобиля о дорогу, чтобы при скорости движения 72 км/ч он остановился через 6 с после начала торможения?
14143Какую массу m
1 радиоактивного изотопа

нужно добавить к m
2 = 5 мг нерадиоактивного изотопа

, чтобы через время t = 10 сут после этого отношение числа распавшихся атомов к числу нераспавшихся было равно 0,5? Постоянная распада изотопа

равна λ = 0,14 сут
–1.
14950
Тело, двигаясь равноускоренно из состояния покоя, за время t = 6 с прошло расстояние S = 450 м. На каком расстоянии S1 от начального положения оно находилось через t1 = 4 с после начала движения?
15016
По наклонной доске пустили катиться снизу вверх шарик. На расстоянии 30 см от начального положения шарик побывал дважды: через 1 с и через 3 с после начала движения. Движение шарика можно считать прямолинейным и равноускоренным. На какое максимальное расстояние он смог откатиться вверх?
15017
По наклонной доске пустили катиться снизу вверх шарик. На расстоянии 30 см от начального положения шарик побывал дважды: через 1 с и через 3 с после начала движения. Какой скоростью обладал шарик в этой точке при спуске, если его движение можно считать прямолинейным и равноускоренным?
16713
По наклонной доске пустили катиться снизу вверх шарик. На расстоянии 30 см от начала пути шарик побывал дважды — через 1 с и 2 с после начала движения. Определить начальную скорость и ускорение движения шарика, считая его постоянным.
17555
Точка начинает двигаться по окружности радиуса R = 16,0 м с тангенциальным ускорением аτ = 10 м/с2. 1. Чему равно полное ускорение точки через три секунды t = 3 с после начала движения? Решение поясните рисунком. 2. Чему равна величина угловой скорости и углового ускорения при этом движении в этот момент времени?
17592
Небольшое тело, двигаясь с горизонтальной скоростью на высоте h, распалось на две части одинаковой массы. Одна часть упала на землю через время t1 прямо под местом распада. Вторая часть упала позднее. Сопротивлением воздуха пренебречь. Через какое время после распада вторая часть упала на землю?
18975
Уравнение движения материальной точки х = sin(πt/6), м. Найти моменты времени, в которые достигаются минимальные по модулю скорость и ускорение. Найти силу, действующую на точку через 10 с после начала движения, если масса точки 12 г.
19125
Троллейбус начал двигаться равноускоренно по закругленному участку пути и, пройдя расстояние 100 м, развил скорость 24 км/ч. Найти касательное, центростремительное и полное ускорения троллейбуса через 20 с после начала движения. Радиус закругления равен 170 м.
19935
При диагностировании патологического изменения в тканях организма ультразвуковым методом отраженный сигнал был принят через 5∙10–5 сек после излучения. На какой глубине в тканях была обнаружена неоднородность?
20067
Материальная точка движется по окружности диаметром 40 м. Зависимость ее координаты от времени движения определяется уравнением S = t3+4t2–3t+8. В какой момент точка изменяет направление движения? Определить пройденный путь, скорость, нормальное, тангенциальное и полное ускорение движущейся точки через 4 с после начала движения.
20210
В начальный момент времени две материальные точки находятся на некоторой высоте от поверхности земли в одной точке и обладают скоростями, соответственно равными v01 и v02 = 45,5 м/с, направленными горизонтально в противоположные стороны. Через время t = 10 с после начала одновременного движения векторы скоростей образуют между собой угол α = 45°, а расстояние между материальными точками становится равным l. Определить v01.
20211
В начальный момент времени две материальные точки находятся на некоторой высоте от поверхности земли в одной точке и обладают скоростями, соответственно равными v01 = 9,3 м/с и v02, направленными горизонтально в противоположные стороны. Через время t = 4 с после начала одновременного движения векторы скоростей образуют между собой угол α = 60°, а расстояние между материальными точками становится равным l. Определить v02.
20212
В начальный момент времени две материальные точки находятся на некоторой высоте от поверхности земли в одной точке и обладают скоростями, соответственно равными v01 = 24,0 м/с и v02 = 16,0 м/с, направленными горизонтально в противоположные стороны. Через время t = 6 с после начала одновременного движения векторы скоростей образуют между собой угол α, а расстояние между материальными точками становится равным l. Определить α.
20213
В начальный момент времени две материальные точки находятся на некоторой высоте от поверхности земли в одной точке и обладают скоростями, соответственно равными v01 = 42,0 м/с и v02 = 68,8 м/с, направленными горизонтально в противоположные стороны. Через время t после начала одновременного движения векторы скоростей образуют между собой угол α = 90°, а расстояние между материальными точками становится равным l. Определить t.
20214
В начальный момент времени две материальные точки находятся на некоторой высоте от поверхности земли в одной точке и обладают скоростями, соответственно равными v01 = 12,0 м/с и v02 = 5,0 м/с, направленными горизонтально в противоположные стороны. Через время t после начала одновременного движения векторы скоростей образуют между собой угол α = 90°, а расстояние между материальными точками становится равным l. Определить l.
20367Твердое тело начинает вращаться вокруг оси Z с угловой скоростью, проекция которой изменяется во времени, как показано на графике. На какой угол (в рад) окажется тело повернутым относительно начального положения через 10 с после начала движения.

20415
Короткие звуковые импульсы наземного локатора, испускаемые через время τ, возвращаются после отражения от самолета, который удаляется от локатора, следуя друг за другом через время kT, где k > 1. Во сколько раз скорость самолета меньше скорости звука?
20424
Камень бросили под углом 60° к горизонту со скоростью 19,6 м/с. Определить нормальное и тангенциальное ускорение камня через 1 с после начала движения. Через сколько времени, после начала движения нормальное ускорение камня будет максимальным?
20527
На горизонтальной поверхности стола находится тележка с массой m1 = 0,5 кг. К тележке привязали легкую нить, которую перебросили через блок (масса m3 = 0,2 кг, радиус 0,1 м), а к концу ее прикрепили гирю с массой m2 = 0,3 кг (рис. 1). В оси блока действуют силы трения, создающие тормозящий момент Мторм = 0,1 Н∙м. Коэффициент трения между поверхностью стола и тележкой равен μ = 0,1. Какую кинетическую энергию будет иметь эта система тел спустя 0,5 с после начала движения?
20978
В ампулу помещаем радон, активность которого равна 400 мкюри. Через сколько времени после наполнения ампулы радон будет давать 2,22∙109 расп/с?
23266
Первый вагон тронувшегося с места поезда прошел мимо неподвижного наблюдателя, стоящего у начала этого вагона, за время t1, последний за время t2. Считая движение поезда равноускоренным, поезд длинным, а вагоны одинаковыми, найдите время движения мимо наблюдателя всего поезда.
24180
Траектория самолета, отображаемая на экране радара, представляет кривую, которую можно описать соотношениями x = 1000 + 200∙t, y = 2000 – 100∙t, z = 5000 + 2∙t2 (x, y, z измеряются в метрах, t – в секундах). Найти скорость и ускорение самолета через 2 сек и через 3 сек после начала наблюдения.
24419
Зависимость пройденного телом пути от времени дается уравнением S = A – Bt + Ct2 + Dt3, где А = 6 м, В = 3 м/с, С = –2 м/с2, D = 0,2 м/с3. Считая движение прямолинейным, определить для тела в интервале времени от t1 = 1 c до t2 = 4 с 1) среднюю скорость; 2) путь, пройденный телом; 3) в какой момент времени после начала движения точка вернется в исходное положение?
24458
Легкая нить переброшена через цилиндрический блок радиусом 10 см и массой 0,8 кг с горизонтальной осью вращения. К концам нити прикрепили грузы с массами 0,5 и 0,4 кг. Пренебрегая трением в оси блока, найти скорости вращения блока и движения грузов спустя 1 с после начала движения.
25137
Из одного и того же места начали равноускоренно двигаться в одном и том же направлении две точки, причем, вторая начала движение на две секунды после первой. Первая двигалась с начальной скоростью 2 м/с и ускорением 1 м/с2, вторая — с начальной скоростью 8 м/с и ускорением 2 м/с2. Через какое время и на каком расстоянии от исходного положения вторая точка догонит первую?