монохроматический свет длиной волны нормально падает
Пример решения задачи 80034
Условие На щель шириной а = 0,1 мм падает нормально монохроматический свет с длиной волны λ = 500 нм. Дифракционная картина проецируется на экран, параллельный плоскости щели, с помощью линзы, расположенной вблизи щели. Определить расстояние от экрана до линзы, если расстояние
l между первыми дифракционными минимумами, расположенными по обе стороны центрального максимума, равно 1 см.
Краткое условие
а = 0,1 мм = 10
−4 м
λ = 500 нм = 5·10
−7 м
l = 1 см = 0,01 м
m = 1
Найти
L ― ?
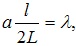
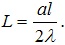
Решение

Условие дифракционных минимумов от одной щели, на которую свет падает нормально,

где, по условию задачи, m=1. Из рисунка следует, что

но так как

то tg φ ≈ sin φ, поэтому

откуда

Подставив эти значения в формулу (1)

получим искомое расстояние от экрана до линзы:

Вычислим:
Ответ: L = 1 м.
10347
На стеклянную пластину нанесен тонкий слой прозрачного вещества с показателем преломления n = 1,3. Пластинка освещена параллельным пучком монохроматического света с длиной волны λ = 640 нм, падающим на пластинку нормально. Какую минимальную толщину dmin должен иметь слой, чтобы отраженный пучок имел наименьшую яркость?
10831
На стеклянную пластину нанесен тонкий слой прозрачного вещества с показателем преломления n = 1,4. Пластинка освещена параллельным пучком монохроматического света с длиной волны λ = 540 нм, падающим на пластинку нормально. Какую минимальную толщину dmin должен иметь слой, чтобы отраженный пучок имел наименьшую яркость?
13861
На стеклянный клин (n = 1,5) нормально падает монохроматический свет. Угол клина равен 4', определите длину световой волны, если расстояние между двумя соседними интерференционными максимумами в отраженном свете равно 0,2 мм.
13866
Установка для наблюдения колец Ньютона освещается монохроматическим светом с длиной волны λ = 0,55 мкм, падающим нормально. Определите толщину воздушного зазора, образованного плоскопараллельной пластинкой и соприкасающейся с ней плосковыпуклой линзой в том месте, где в отраженном свете наблюдается четвертое темное кольцо.
13887
На экран с круглым отверстием радиусом r = 1,5 мм нормально падает параллельный пучок монохроматического света с длиной волны λ = 0,5 мкм. Точка наблюдения находится на оси отверстия на расстоянии b = 1,5 м от него. Определите: 1) число зон Френеля, укладывающихся в отверстии; 2) темное или светлое кольцо наблюдается в центре дифракционной картины, если в месте наблюдения помещен экран.
60428
На свободный электрон падает монохроматический свет с длиной волны λ = 0,5мкм. Интенсивность света I = 100 Вт/м2. Найти амплитуду колебаний электрона.
80106
В воздухе находится тонкая пленка толщиной 0,25 мкм (показатель преломления вещества пленки 1,4). На пленку падает нормально монохроматический свет, при этом отраженные лучи в результате интерференции максимально ослаблены. Какова длина волны этого света?
80254
Биметаллическая пластина изготовлена из двух тщательно отполированных плоских пластин: серебряной и литиевой. Пластина размещена в вакууме, и на поверхность серебра падает нормально пучок монохроматического фиолетового света с длиной волны λ = 0,40 мкм. Пластину развернули на 180°. Во сколько раз изменится действующая на нее сила? Считайте, что фотоэффект вызывается одним из 100 падающих на поверхность лития фотонов и фотоэлектроны вылетают нормально к поверхности с максимально возможной скоростью.
80286
На щель шириной 13 мкм падает нормально монохроматический свет. Определить в нм длину волны, если угол между первоначальным направлением пучка света и направлением на 8-ю темную дифракционную полосу равен 20°.
80335
Найти угловое положение 7-х минимумов, расположенных по обе стороны центрального максимума, при дифракции Фраунгофера от щели шириной 24 мкм, если на щель падает нормально монохроматический свет с длиной волны 565 нм. Ответ дать в градусах.
80387
Две плоскопараллельные стеклянные пластинки приложены одна к другой так, что между ними образовался воздушный клин с углом 48 секунд. На одну из пластин падает нормально монохроматический свет с длиной волны 457 нм. На каком расстоянии (в мм) от линии соприкосновения наблюдается первая светлая полоса в отраженном свете? Принять, что 1 радиан 200000 сек.
80457
На тонкий стеклянный клин падает нормально монохроматический свет длиной волны λ = 6∙10–7 м. Наименьшая толщина клина, с которой видны интерференционные полосы в отраженном свете, равна 0,1 мкм. Расстояние между полосами 2 мм. Найти угол между поверхностями клина. Показатель преломления стекла 1,5.
80495
При какой минимальной толщине мыльная пленка будет казаться светлой в отраженном свете, если она освещена нормально падающим монохроматическим светом с длиной волны λ = 0,6 мкм. Показатель преломления пленки n = 1,33.
80514
Тонкая прозрачная пластинка освещается нормально падающим монохроматическим светом с длиной волны 500 нм. Найти (в нм) наименьшую разность хода лучей, отраженных от поверхностей пластинки, при которой пластинка в отраженном свете выглядит черной.
80464
Определите показатель преломления материала, из которого изготовлен клин, преломляющий угол которого α = 3∙10-4 рад, если на l = 1 см приходится N = 22 интерференционные полосы максимума интенсивности света. Длина волны нормально падающего монохроматического света λ = 0,415 мкм.
80466
Ежесекундно на зеркальную поверхность площадью S = 1 м2 нормально падает n = 15∙1020 фотонов. Определите длину волны монохроматического света, если давление света на поверхность р = 5 мкПа.
26251
На дифракционную решетку с периодом d = 14 мкм падает нормально монохроматическая световая волна. На экране, удаленном от решетки на L = 2,0 м, расстояние между спектрами второго и третьего порядка s = 8,7 см. Какова длина волны λ падающего света?
11109
Определить длину волны λ монохроматического света нормально падающего на дифракционную решетку с периодом d = 5 мкм, если разность Δφ углов дифракции, соответствующих первому и второму дифракционным максимумам равна 2°21'.
12331
На дифракционную решетку, содержащую n = 100 штрихов на 1 мм, падает нормально монохроматический свет. Зрительная труба спектрометра наведена на максимум третьего порядка. Чтобы навести трубу на другой максимум того же порядка, ее нужно повернуть на угол Δφ = 20°. Определить длину волны λ света.
11851
На пути монохроматического света с длиной волны λ = 0,6 мкм находится плоскопараллельная стеклянная пластина толщиной d = 0,1 мм. Свет падает на пластину нормально. На какой угол φ следует повернуть пластину, чтобы оптическая длина пути L изменилась на λ/2?
12207
На пластину со щелью, ширина которой 0,1 мм, падает нормально монохроматический свет с длиной волны 0,7 мкм. Определить угол отклонения лучей, соответствующих первому дифракционному максимуму.
12352
На дифракционную решетку, имеющую 500 штрихов/мм, падает нормально монохроматический свет с длиной волны λ = 500 нм. Сколько максимумов получим с помощью этой решетки?
12789
Найти угловое положение 3-х минимумов, расположенных по обе стороны центрального максимума, при дифракции Фраунгофера от щели шириной 26 мкм, если на щель падает нормально монохроматический свет с длиной волны 475 нм. Ответ дать в градусах.
12833
На дифракционную решетку с периодом 1 мкм падает нормально монохроматический свет. Угол между направлениями на дифракционные максимумы первого и минус первого порядка равен 60°. Определить длину световой волны.
12905
На дифракционную решетку с периодом 9 мкм падает нормально монохроматический свет. Угол между спектрами 4-го и 2-го порядков равен 19°. Определить в нм длину волны.
12936
На дифракционную решетку с периодом 7 мкм падает нормально монохроматический свет. Угол между спектрами 3-го и 5-го порядков равен 13°. Определить в нм длину волны.
14089
На поверхность объектива (n = 1,7) нанесена тонкая прозрачная "просветляющая" пленка с показателем преломления n1<n. Толщина пленки d = 0,11 мкм. На пленку нормально падают световые лучи с длиной волны λ = 0,55 мкм. При каком показателе преломления пленки n1, произойдет максимальное ослабление отраженного света?
16632
На мыльную пленку с показателем преломления (n = 1,3), находящуюся в воздухе, падает нормально пучок лучей белого света. При какой наименьшей толщине пленки d отраженный свет с длиной волны λ = 550 нм окажется максимально усиленным в результате интерференции?
16646
На пути одного из интерферирующих лучей в опыте Юнга помещается стеклянная пластинка толщиной h = 14 мкм. Свет падает на пластинку нормально. Показатель преломления стекла n = 1,5; длина волны света λ = 700 нм. На какое число полос сместится интерференционная картина?
16750
Установка для получения колец Ньютона освещается монохроматическим светом с длиной волны λ = 580 нм, падающим по нормали к поверхности пластинки. Найти толщину d воздушного слоя между линзой и стеклянной пластинкой в том месте, где наблюдается пятое темное кольцо в отраженном свете.
16775
Дифракционная решетка содержит n = 200 штрихов на 1 мм. На решетку падает нормально монохроматический свет c длиной волны λ = 550 нм. Максимум mmax какого наибольшего порядка дает решетка? Найти общее число Nmax дифракционных максимумов, которые дает эта решетка. Определить угол φmax дифракции, соответствующий последнему максимуму.
16777
Дифракционная решетка содержит n = 300 штрихов на 1 мм. На решетку падает нормально монохроматический свет c длиной волны λ = 650 нм. Максимум mmax какого наибольшего порядка дает решетка? Найти общее число Nmax дифракционных максимумов, которые дает эта решетка. Определить угол φmax дифракции, соответствующий последнему максимуму.
16780
Дифракционная решетка содержит n = 200 штрихов на 1 мм. На решетку падает нормально монохроматический свет c длиной волны λ = 645 нм. Максимум mmax какого наибольшего порядка дает решетка? Найти общее число Nmax дифракционных максимумов, которые дает эта решетка. Определить угол φmax дифракции, соответствующий последнему максимуму.
16782
Дифракционная решетка содержит n = 300 штрихов на 1 мм. На решетку падает нормально монохроматический свет c длиной волны λ = 500 нм. Максимум mmax какого наибольшего порядка дает решетка? Найти общее число Nmax дифракционных максимумов, которые дает эта решетка. Определить угол φmax дифракции, соответствующий последнему максимуму.
16785
На дифракционную решетку нормально к ее поверхности падает монохроматический свет с длиной волны λ = 550 нм. На экран, находящийся от решетки на расстоянии L = 1,5 м, с помощью линзы, расположенной вблизи решетки, проецируется дифракционная картина, причем первый главный максимум наблюдается на расстоянии l = 12 см от центрального максимума. Определить: 1) период дифракционной решетки; 2) число штрихов на 1 см ее длины; 3) общее число максимумов, даваемых решеткой; 4) угол дифракции, соответствующий последнему максимуму.
16786
На дифракционную решетку нормально к ее поверхности падает монохроматический свет с длиной волны λ = 500 нм. На экран, находящийся от решетки на расстоянии L = 1,0 м, с помощью линзы, расположенной вблизи решетки, проецируется дифракционная картина, причем первый главный максимум наблюдается на расстоянии l = 14 см от центрального максимума. Определить: 1) период дифракционной решетки; 2) число штрихов на 1 см ее длины; 3) общее число максимумов, даваемых решеткой; 4) угол дифракции, соответствующий последнему максимуму.
16787
На дифракционную решетку нормально к ее поверхности падает монохроматический свет с длиной волны λ = 650 нм. На экран, находящийся от решетки на расстоянии L = 1,3 м, с помощью линзы, расположенной вблизи решетки, проецируется дифракционная картина, причем первый главный максимум наблюдается на расстоянии l = 10 см от центрального максимума. Определить: 1) период дифракционной решетки; 2) число штрихов на 1 см ее длины; 3) общее число максимумов, даваемых решеткой; 4) угол дифракции, соответствующий последнему максимуму.
16790
На дифракционную решетку нормально к ее поверхности падает монохроматический свет с длиной волны λ = 645 нм. На экран, находящийся от решетки на расстоянии L = 2,0 м, с помощью линзы, расположенной вблизи решетки, проецируется дифракционная картина, причем первый главный максимум наблюдается на расстоянии l = 16 см от центрального максимума. Определить: 1) период дифракционной решетки; 2) число штрихов на 1 см ее длины; 3) общее число максимумов, даваемых решеткой; 4) угол дифракции, соответствующий последнему максимуму.
16792
На дифракционную решетку нормально к ее поверхности падает монохроматический свет с длиной волны λ = 580 нм. На экран, находящийся от решетки на расстоянии L = 2,2 м, с помощью линзы, расположенной вблизи решетки, проецируется дифракционная картина, причем первый главный максимум наблюдается на расстоянии l = 9 см от центрального максимума. Определить: 1) период дифракционной решетки; 2) число штрихов на 1 см ее длины; 3) общее число максимумов, даваемых решеткой; 4) угол дифракции, соответствующий последнему максимуму.
16796
На дифракционную решетку нормально к ее поверхности падает монохроматический свет с длиной волны λ = 650 нм. На экран, находящийся от решетки на расстоянии L = 1,2 м, с помощью линзы, расположенной вблизи решетки, проецируется дифракционная картина, причем первый главный максимум наблюдается на расстоянии l = 12 см от центрального максимума. Определить: 1) период дифракционной решетки; 2) число штрихов на 1 см ее длины; 3) общее число максимумов, даваемых решеткой; 4) угол дифракции, соответствующий последнему максимуму.
16840
На стеклянный клин (n = 1,5) нормально входной грани падает монохроматический свет (λ0 = 0,5 мкм). В возникшей при этом интерференционной картине на отрезке 4 см наблюдается 20 темных полос. Определить угол клина.
19104
Поверхности стеклянного клина (показатель преломления 1,5) образуют между собой угол i = 0,3'. Клин находится в воздухе. На клин нормально к его поверхности падает пучок лучей монохроматического света с длиной волны λ = 0,524 мкм. В отраженном свете наблюдается интерференционная картина. Определите ширину интерференционной полосы.
19216
Поверхности стеклянного клина (n = 1,5) образуют между собой угол γ = 0,2' На клин нормально к его поверхности падает пучок лучей монохроматического света с длиной волны λ = 0,55 мкм. Определить расстояние b между соседними интерференционными максимумами в отраженном свете.
19220
На узкую щель шириной а = 0,02 мм падает нормально монохроматический свет с длиной волны λ = 700 нм. Определите угол дифракции, соответствующий минимуму второго порядка.
19224
На стеклянный (n = 1,5) клин нормально к его грани падает монохроматический свет с длиной волны λ = 0,6 мкм. В возникшей при этом интерференционной картине на отрезке длиной l = 1 см наблюдается 10 темных интерференционных полос. Определить преломляющий угол α клина.
19231
На щель в диафрагме падает нормально монохроматический свет с длиной волны λ = 600 нм. Дифракционная картина проецируется на экран с помощью линзы, расстояние от линзы до экрана L = 1 м. Ширина центрального максимума на экране l = 3 см. Какова ширина щели?
19234
Тонкая пластинка с показателем преломления n = 1,5 освещается светом с длиной волны λ = 600 нм. Свет падает на пластинку нормально. При какой минимальной толщине пластинки она будет выглядеть наиболее темной в отраженном свете?
19235
На щель падает нормально монохроматический свет с длиной волны 0,6 мкм. Под углом 1 градус наблюдается минимум третьего порядка. Под каким углом будет обнаружен максимум пятого порядка?
19236
На щель падает нормально монохроматический свет с длиной волны 0,6 мкм. Под углом 20° наблюдается минимум третьего порядка. Под каким углом будет обнаружен максимум пятого порядка?
19352
Монохроматический свет с длиной волны 500 нм падает нормально на щель. Центральный максимум, наблюдаемый за щелью, имеет угловую ширину 8°. Определить ширину щели.
19471
На щель нормально падает монохроматический свет с длиной волны 700 нм. При этом дифракционный максимум третьего порядка наблюдается под углом 7°. Затем на этой же установке наблюдается дифракция монохроматического света с неизвестной длиной волны и под углом 6° находится максимум четвертого порядка. Определить длину волны света.
19476
На тонкий клин с показателем преломления n = 1,6 нормально падает монохроматический свет с длиной волны 500 нм. Угол при вершине клина 30". Определить расстояние между соседними интерференционными максимумами в отраженном свете.
19555
На щель шириной 2 мкм падает монохроматический свет с длиной волны 0,6 мкм. Каков наибольший порядок максимумов, наблюдаемых за щелью, и под каким углом наблюдается максимум наибольшего порядка?
21285
На клин с показателем преломления n = 1,6 нормально падает монохроматический свет длиной волны λ = 670 нм. Определить угол α (в радианах) между поверхностями клина, если расстояние между двумя соседними минимумами в отраженном свете равно l = 2 мм.
22245
На узкую щель шириной а = 0,05 мм нормально падает монохроматический свет с длиной волны λ = 694 нм. Определить направление света на вторую светлую дифракционную полосу (по отношению к первоначальному направлению света).
22267
На узкую щель шириной а = 0,05 мм нормально падает монохроматический свет с длиной волны λ = 520 нм. Определить направление света на вторую светлую дифракционную полосу (по отношению к первоначальному направлению света).
22283
Мыльная пленка образует клин. Пучок монохроматического света, падая на клин нормально, создает в проходящем свете интерференционную картину чередующихся темных и светлых полос. В месте, где находится третья, считая от ребра клина, светлая полоса толщина пленки составляет 625 нм. Показатель преломления мыльной пленки n = 4/3. Определите длину волны света.
22497
Линейно-поляризованный монохроматический свет с длиной волны 0,641 мкм падает нормально из воздуха на плоскопараллельный двулучепреломляющий кристалл так, что обыкновенный и необыкновенный лучи идут параллельно друг другу. Какой минимальной толщины должен быть кристалл, чтобы прошедший свет вышел из него тоже линейно-поляризованным? Показатели преломления для обыкновенного и необыкновенного лучей равны 1,45 и 1,85, соответственно. Толщину выразить в мкм.
23793
Определить длину волны монохроматического света, падающего нормально на решетку с периодом 2,6 мкм, если угол между максимумами первого и второго порядка равен 20°. Определить угловое расстояние между главным максимумом и ближайшим к нему минимумом. Решетка имеет 500 штрихов на 1 мм.