В вершинах равностороннего треугольника со сторонами
Пример решения задачи 10183
Условие Три одинаковых точечных заряда Q
1 = Q
2 = Q
3 = 2 нКл находятся в вершинах равностороннего треугольника со сторонами а = 10 см. Определить модуль и направление силы F, действующей на один из зарядов со стороны двух других.
Краткое условие
Q
1 = Q
2 = Q
3 = 2·10
–9 Кл
a = 10 см = 0,1 м
Найти
F ― ?
Решение
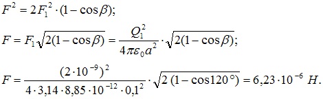
По закону Кулона силы взаимодействия двух зарядов выражаются уравнениями:

С учётом равенства зарядов получаем уравнения

а картина сил оказывается симметричной относительно вертикальной оси. Определим суммарную силу F, создаваемую двумя зарядами, по принципу суперпозиций. Изобразим силы, действующие на заряд 3 со стороны зарядов 1 и 2.

Рассмотрим треугольник, стороны которого равны значениям векторов F
1, F
2 и F. Между сторонами F
1 и F
2 угол β. Так как α = 60°, то
β = 180°–α = 180°–60° = 120°.
По теореме косинуса:

Учитывая, что F
1 = F
2, получим:
Ответ: F = 6,23 мкH.
60192
Найти напряжение электрического поля в центре равностороннего треугольника со стороной а, если поле создано тремя точечными зарядами q, находящимися в вершинах треугольника.
60344
Три одинаковых заряда величиной 55 нКл каждый помещены в вершинах равностороннего треугольника. Сила, действующая на каждый заряд, равна 80 мН. Определить длину стороны треугольника.
10747
По контуру в виде равностороннего треугольника идет ток силой I = 40 А. Сторона треугольника а = 30 см. Определить магнитную индукцию В в точке пересечения высот.
26387
Три одинаковых точечных заряда 50 нКл находятся в вершинах равностороннего треугольника со стороной 6 см. Найти силу, действующую на один из зарядов со стороны двух остальных.
11768
По контуру в виде равностороннего треугольника идет ток I = 40 А. Длина а стороны треугольника равна 30 см. Определить магнитную индукцию В в точке пересечения высот.
12902
Проводник с током 15 А имеет форму равностороннего треугольника. Определить сторону треугольника, если напряженность магнитного поля в одной из его вершин равна 73 А/м.
13745
Три одинаковых точечных заряда q1 = q2 = q3 = 2 нКл находятся в вершинах равностороннего треугольника со стороной а = 0,1 м. Какой заряд нужно поместить на пересечении биссектрис, чтобы заряды находились в равновесии?
14809
Три частицы с зарядом +q и массой m (каждая) закреплены в вершинах правильного треугольника со стороной а. Частицы освободили. Получить выражение для скорости одной (любой) из частиц на бесконечно большом расстоянии друг от друга.
15057
Три электрона в состоянии покоя помещены в вершинах равностороннего треугольника со стороной а = 1 см. Они начинают двигаться под действием взаимного отталкивания. Определить их предельную скорость.
15161
В вершинах равностороннего треугольника со стороной а находятся заряды +q, +q, и –q. Найти напряженность поля в центре треугольника.
16117
В двух вершинах равностороннего треугольника со стороной 12 см находятся заряды –25 нКл и 18 нКл. Определить силу (мкН), действующую со стороны этих зарядов на заряд –23 нКл, находящийся в третьей вершине. Система зарядов находится в диэлектрике проницаемостью 4,3.
16379
Два точечных заряда q1 = q2 = 2∙10–8 Кл находятся в вершинах равностороннего треугольника со сторонами a = 10 см. Где нужно поместить отрицательный точечный заряд q3 = –2,6∙10–8 Кл, чтобы напряженность электрического поля в третьей вершине стала равной нулю? Каким при этом будет потенциал поля в этой вершине?
16484
В вершинах равностороннего треугольника со стороной a находятся равные по величине заряды: +q, +q, –q. Найдите напряженность и потенциал поля в центре треугольника. Какая работа будет совершена при перемещении точечного заряда +q0 из центра в середину одной из сторон треугольника, между положительными зарядами?
17500
Три одинаковых заряда величиной q находятся в вершинах равностороннего треугольника со стороной 1 см. Найти силу, действующую на один из зарядов со стороны двух других. Найти энергию системы зарядов.
21378
Точечные заряды q2 = q1 = 10–16 Кл и q3 = 4∙10–16 Кл закреплены в вершинах равностороннего треугольника со стороной равной 20 см. Определить 1) напряженность и потенциал электрического поля в центре треугольника; 2) работу, необходимую для перемещения заряда q1 из вершины в центр треугольника; 3) рассчитать энергию системы зарядов (после перемещения первого заряда).
22715
Три одинаковых заряда q1 = q2 = q3 = 2 нКл находятся в вершинах равностороннего треугольника со стороной а = 10 см. Определить силу F, действующую на один из этих зарядов.
23518
В вершинах равностороннего треугольника находятся точечные заряды q; 2q; 3q; (где величина q = 1 нКл), сторона треугольника а = 0,1 м. Определить напряженность электрического поля в точке нахождения заряда 3q. Определить энергию системы зарядов.
24676
По проводнику, имеющему форму равностороннего треугольника со стороной 30 см, течет ток 40 А. Определить напряженность магнитного поля в центре треугольника.
10188
В вершинах правильного треугольника со стороной a = 10 см находятся заряды Q1 = 10 мкКл, Q2 = 20 мкКл и Q3 = 30 мкКл. Определить силу F, действующую на заряд Q1 со стороны двух других зарядов.
25459
Три одинаковых точечных заряда q1 = q2 = q3 = 3 нКл находятся в вершинах равностороннего треугольника со стороной a = 15 см. Определите по величине и направлению силу F, действующую на один из зарядов со стороны двух других.