Определить угловое ускорение
Пример решения задачи 13028
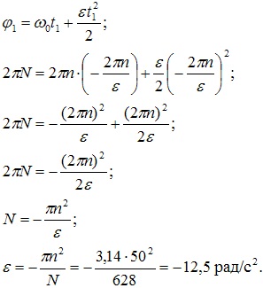
Условие Якорь электродвигателя, имеющий частоту вращения n = 50 с
–1 после выключения тока, сделав N = 628 оборотов, остановился. Определите угловое ускорение ε якоря.
Краткое условие
n = 50 с
−1
N = 628
Найти
ε ― ?
Решение
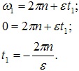
Силы торможения постоянны и создают постоянное угловое ускорение (замедление). Якорь вращается равнозамедленно. При равноускоренном (равнозамедленном) вращении угловая скорость якоря изменяется по закону

где ω
0 = 2πn ― начальная угловая скорость якоря.
В момент t
1 остановки якоря угловая скорость ω
1 = 0. Подставляя эти значения в уравнение для ω, получим

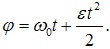
При равноускоренном (равнозамедленном) вращении угол поворота якоря изменяется по закону

В момент t
1 остановки угол поворота якоря равен φ
1 = 2πN. Подставим эти значения в уравнение для φ:

Знак "минус" означает, что скорость вращения убывает.
Ответ: ε = –12,5 рад/с
2.
13029
Колесо автомашины вращается равнозамедленно. За время t = 2 мин оно изменило частоту вращения от 240 до 60 мин–1. Определите: 1) угловое ускорение колеса, 2) число полных оборотов, сделанных колесом за это время.
11034
Маховик начал вращаться равноускоренно и за промежуток времени Δt = 10 с достиг частоты вращения n = 300 мин-1. Определить угловое ускорение ε маховика и число N оборотов, которое он сделал за это время.
11036
Колесо автомашины вращается равноускоренно. Сделав N = 50 полных оборотов, оно изменило частоту вращения от n1 = 4 с–1 до n2 = 6 с–1. Определить угловое ускорение ε колеса.
40846
Определите путь, пройденный телом за 5 с из состояния покоя при ускорении 2 м/с2. Используйте кинематическое уравнение.
26417По приведенному графику построить графики зависимости углового ускорения и углового пути от времени, учитывая, что φ(0) = 0. Определить число оборотов, сделанное вращающимся телом за первые 6 с движения.

12958
Колесо автомашины диаметром d = 596 мм начало вращаться равноускоренно. На пути длиной l = 93,6 м его частота вращения достигла значения n = 4 об/с. Определить угловое ускорение ε колеса.
14940
Тело движется по криволинейной траектории, имеющей радиус кривизны R = 10 м. Закон движения тела S = t + 2t2. Определить линейную v и угловую скорость ω, а также нормальное ускорение an автомобиля в момент времени t = 2 c.
14941
Тело движется по криволинейной траектории, имеющей радиус кривизны R = 10 м. Закон движения тела S = Bt + Ct2, где C = 2 м/с2; B = 4 м/с. Определить линейную v и угловую скорость ω, а также нормальное ускорение an автомобиля в момент времени t = 3 c.
15773
Колесо автомашины вращается равнозамедленно. За время t = 240 c оно изменило частоту вращения от n1 = 300 мин–1 до n2 = 60 мин–1. Определите угловое ускорение колеса и число полных оборотов, сделанных колесом за это время.
15782
Колесо автомашины вращается равнозамедленно. За время t = 180 c оно изменило частоту вращения от n1 = 240 мин–1 до n2 = 120 мин–1. Определите угловое ускорение колеса и число полных оборотов, сделанных колесом за это время.
24008
Определить среднее угловое ускорение маховика, угловая скорость которого за время 18 полных оборотов возросла от частоты 7 оборотов в секунду до 17 оборотов в секунду.