Пример решения задачи 10270
Условие По двум бесконечно длинным, прямым параллельным проводам текут одинаковые токи I = 60 А. Определить магнитную индукцию В в точке А, равноудаленной от проводов на расстояние d = 10 см. Угол β = π/3.
Краткое условие
I = 60 A
d = 10 см = 0,1 м
β = π/3
Найти
B ― ?
Решение
Запишем закон Био-Савара-Лапласа

где

― вектор магнитной индукции поля, создаваемого элементом проводника с током;
μ ― магнитная проницаемость среды,
μ
0 = 4π·10
–7 Гн/м ― магнитная постоянная,

― вектор, равный по модулю длине dl проводника и совпадающий по направлению с током;
I ― сила тока в проводнике,

― расстояние до проводника.
Модуль вектора

выражается формулой

где I ― сила тока в проводнике;
r ― расстояние до элемента dl проводника.
α ― угол между векторами

и

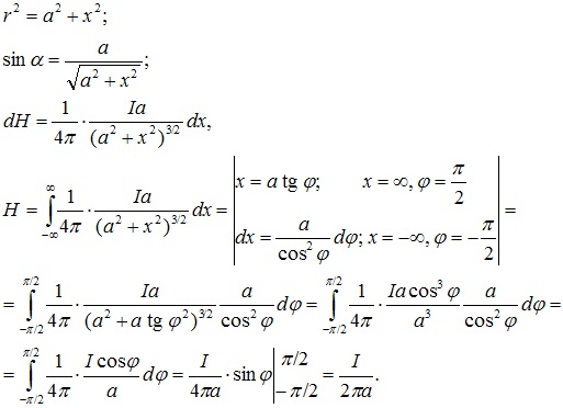
Выведем формулу напряженности магнитного поля, создаваемого бесконечно длинным прямым проводником с током на расстоянии a от него. Выделим элемент проводника длиной dx.

Он создает вектор напряженности Модуль вектора

, значение которого

Из рисунка:

Учитывая, что индукция магнитного поля связана с напряженностью соотношением

и a = d, для проводников задачи получим

Изобразим векторное сложение векторов Модуль вектора
1 и Модуль вектора
2.

2α = 360°–90°–90°–β
2α = 180°–β
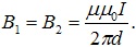
Суммарный вектор индукции магнитного поля

определяется по принципу суперпозиции полей векторным сложением векторов
1 и
2:

Так как в треугольнике со сторонами В
1, В
2 и В стороны В
1 и В
2 равны между собой, то это равнобедренный треугольник. Для этого треугольника:
γ = 180°–2α = 180°–(180°–β) = β.
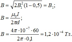
Сторону В треугольника найдём по теореме косинуса:

С учётом В
1=В
2 и cos60°=0,5 получим:
Ответ: В = 1,2·10
–4 Тл.