Определить напряженность электростатического поля
Пример решения задачи 13404
Условие В вершинах квадрата со стороной 5 см находятся одинаковые положительные заряды Q = 2 нКл. Определите напряженность электростатического поля: 1) в центре квадрата; 2) в середине одной из сторон квадрата.
Краткое условие
a = 5 см = 0,05 м
Q = 2 нКл = 2·10
–9 Кл
Найти
E
1 ― ?
E
2 ― ?
Решение
Изображаем заряды в вершинах квадрата и векторы напряженности полей, создаваемых зарядами.

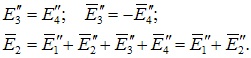
Из симметрии рисунка следует:

Находим результирующий вектор E1 поля в центре квадрата:

Напряженности полей, создаваемых зарядами 1 и 2 в середине одной из сторон квадрата:

где ε
0 = 8,85·10
–12 Ф/м — электрическая постоянная.

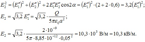
Вычислим угол α из геометрии рисунка:

По теореме косинуса определяем длину результирующего вектора E2 поля в середине одной из сторон квадрата:
Ответ: E
1 = 0; E
2 = 10,3 кВ/м.
13397
Свинцовый шарик (ρ = 11,3 г/см3) диаметром 0,5 см помещен в глицерин (ρ = 1,26 г/см3). Определите заряд шарика, если в однородном электростатическом поле шарик оказался взвешенным в глицерине. Электростатическое поле направлено вертикально вверх, и его напряженность Е = 4 кВ/см.
13402
Определите поток ФE вектора напряженности электростатического поля через сферическую поверхность, охватывающую точечные заряды Q1 = 5 нКл и Q2 = –2 нКл.
60174
Шарик массой 0,25 г, висящий на нити, помещен в горизонтальное однородное электростатическое поле напряженностью 125 В/м. При сообщении шарику заряда он отклонился так, что нить составила угол 30° с вертикалью. Определить заряд шарика.
60383Напряженность некоторого электростатического поля определяется выражением

, где а – константа,

и
1 векторы. Найти потенциал этого поля φ(r).
60313
Протон, скорость которого V = 30 Мм/с влетает в однородное электростатическое поле напряженностью E = 36 кВ/м в направлении перпендикулярном к линиям напряженности поля. Определить смещение протона от направления движения после того, как проекция его перемещения на направление поля окажется d = 10 см.
13400
Определите напряженность электростатического поля в точке А, расположенной вдоль прямой, соединяющей заряды Q1 = 10 нКл и Q = -8 нКл и находящейся на расстоянии r = 8 см от отрицательного заряда. Расстояние между зарядами l = 20 см.
13214
Определить напряженность электростатического поля и потенциал заряженной сферы радиуса R. Заряд Q равномерно нанесен на поверхность сферы. Нарисовать графики E(r) и φ(r).
17790
Поле создано точечными зарядами q1 = 10 нКл, q2 = 5 нКл, q3 = –7 нКл, q4 = –6 нКл, расположенными внутри сферы радиусом 15 см. Определите напряженность электростатического поля: 1) на поверхности сферы; 2) на расстоянии r2 = 20 см от центра сферы. Постройте график зависимости E(r).
18055
Определить величину напряженности электростатического поля в заданной точке r0(х0,у0) по заданной зависимости потенциала от координат φ(х,у). Ответ указать с точностью до трех значащих цифр. Исходные данные: φ = –50(2х+у), r0(2,1) см.
22198
Заряд q = 10 нКл равномерно распределен по дуге окружности, радиус которой R = 1,0 см, а угол раствора α = 2π/3. Используя принцип суперпозиции, определите напряженность электростатического поля Е в центре кривизны дуги.
22716
Определить напряженность электростатического поля в центре шестиугольника со стороной a, в вершинах которого расположены: а) равные заряды одного знака; б) заряды, равные по модулю, но чередующиеся по знаку.
22865Потенциал электростатического поля задан выражением

, где а = b = с = 0,1 м. Определить напряженность электростатического поля в точке с координатами х = 0,2 м, у = –0,2 м, z = 0,1 м.
22866Потенциал электростатического поля задан выражением

, где а = 0,1 м, b = 0,2 м. Определить напряженность электростатического поля в точке с координатами х = у = 0,2 м, z = 0,1 м.
25155
В центре плоского тонкого диска радиуса R имеется круглое отверстие радиуса R1. Оставшаяся часть диска заряжена равномерно по поверхности с плотностью заряда σ. Определить напряженность электростатического поля диска с отверстием в точке А на оси диска на расстоянии a от его поверхности.
25269
Два одинаковых точечных заряда по 1 нКл находятся в воздухе на расстоянии 2 см друг от друга. Определить напряженность и потенциал электростатического поля в точке, удаленной на расстояние 3 см как от первого, так и от второго заряда.