разность фаз между
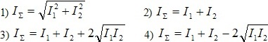
14264Запишите условие максимального усиления при наложении двух когерентных световых волн 1 и 2 через их разность фаз Δφ. Какое соотношение между интенсивностью I
Σ результирующей волны и интенсивностями I
1 и I
2 будет соответствовать этому условию?

19820На рисунке представлена схема разбиения волновой поверхности Ф на зоны Френеля. Разность хода между лучами N
1P и N
2P и разность фаз колебаний вторичных источников в точках N
1 и N
2 равна ...
1) 2λ 2) 1/2λ 3) λ 4) 3/2λ 5) 0
6) 0 7) π/4 8) π/2 9) π 10) 3π/2.
Укажите сумму номеров правильных соотношений. Ответ пояснить.

23009
Чему равна разность энергии в электрон-вольтах между двумя линиями 0,5896 мкм и 0,589 мкм?
23821
Разность фаз звуковых волн с частотой 1 кГц, приходящих от одного источника к разным ушам, равна 0,2 рад. Определите разность хода волн, приходящих в правое и левое ухо человека.
10580
Две точки находятся на прямой, вдоль которой распространяются волны со скоростью v = 50 м/с. Период колебаний T = 0,5 с, расстояние между точками х = 50 см. Найти разность фаз Δφ колебаний в этих точках.