под углом к однородному магнитному полю
Пример решения задачи 10298
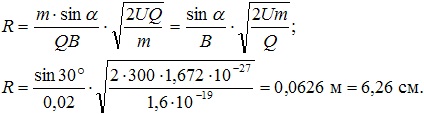
Условие Протон прошел ускоряющую разность потенциалов U = 300 В и влетел в однородное магнитное поле (В = 20 мТл) под углом α = 30° к линиям магнитной индукции. Определить шаг h и радиус R винтовой линии, по которой будет двигаться протон в магнитном поле.
Краткое условие
U = 300 В
В = 20 мТл = 0,02 Тл
α = 30°
Найти
h ― ?
R ― ?
Решение

На протон действует сила Лоренца, направленная в плоскость чертежа (по правилу левой руки). Движение протона можно рассматривать как сложное, состоящее из поступательного движения вдоль направления вектора

со скоростью
1 и движения по окружности со скоростью
2. Так как

то угол α
1 между векторами
1 и

равен нулю. Сила Лоренца

значит скорость
1 в направлении вектора

будет постоянной. Так как

то угол α
2 между векторами
2 и

и равен 90°,

По второму закону Ньютона

Приравняем правые части этих равенств:

откуда

Определим скорость v. Протон, прошедший ускоряющую разность потенциалов U, приобретает кинетическую энергию

откуда

Тогда

Протон делает один оборот за время t = 2πR/v
2. За это время он продвинется вдоль вектора

на расстояние

Так как v
2/v
1 = tg α, то
Ответ: R = 6,26 cм; h = 68,1 см.
10302
Протон влетел в скрещенные под углом α = 120° магнитное (В = 50 мТл) и электрическое (Е = 20 кВ/м) поля. Определить ускорение а протона, если его скорость v (|v| = 4∙105 м/с) перпендикулярна векторам Е и B.
10308
Альфа-частица, имеющая скорость v = 2 Мм/с, влетает под углом α = 30° к сонаправленному магнитному (В = 1 мТл) и электрическому (Е = 1 кВ/м) полям. Определить ускорение а альфа-частицы.
10772
Частица, несущая один элементарный заряд, влетела в однородное магнитное поле индукцией В = 0,5 Т под углом α = 60° к направлению линий индукции. Определить силу Лоренца Fл, если скорость частицы v = 10 м/с.
13538
Электрон, обладая скоростью v = 1 Мм/с, влетает в однородное магнитное поле под углом α = 60° к направлению поля и начинает двигаться по спирали. Напряженность магнитного поля Н = 1,5 кА/м.Определите: 1) шаг спирали; 2) радиус витка спирали.
13540
Определите, при какой скорости пучок заряженных частиц, двигаясь перпендикулярно скрещенным под прямым углом однородным электрическому (Е = 100 кВ/м) и магнитному (В = 50 мТл) полям, не отклоняется.
70146
Проводник длиной 1,5 м перемещается в однородном магнитном поле с индукцией 0,2 Тл. Движение проводника происходит со скоростью 10 м/с под углом 45° к магнитным силовым линиям. Найдите э.д.с. индукции, возникающую в проводнике.
70223
В однородном магнитном поле под углом 30° к направлению вектора магнитной индукции В, величина которого В = 0,1 Тл, движется проводник длиной L = 2 м со скоростью v = 5 м/с. Проводник перпендикулярен вектору скорости и вектору магнитной индукции. Какова ЭДС индукции в проводнике?
70232
Какая работа совершается магнитным полем с индукцией 0,5 Тл при перемещении проводника с током на расстояние 2 м? Проводник имеет длину 0,5 м, расположен под углом 30° к магнитной индукции и перемещается в направлении, перпендикулярном и к направлению тока, и к направлению магнитной индукции. Сила тока в проводнике равна 20 А.
70261
В вертикальном однородном магнитном поле на двух тонких нитях подвешен горизонтально проводник длиной 0,2 м и массой 20,4 г. Индукция магнитного поля равна 0,5 Тл. На какой угол от вертикали отклоняются нити, если сила тока в проводнике равна 2А?
10772
Частица, несущая один элементарный заряд, влетела в однородное магнитное поле индукцией В = 0,5 Т под углом α = 60° к направлению линий индукции. Определить силу Лоренца Fл, если скорость частицы v = 10 м/с.
70012
Электрон, имея скорость v = 2 Мм/с, влетел в однородное магнитное поле с индукцией B = 30 мТл под углом α = 30° к направлению линий индукции. Определить радиус R и шаг h винтовой линии, по которой будет двигаться электрон.
70058
Электрон, двигаясь со скоростью 4 Мм/с, влетает под углом 60° к силовым линиям однородного магнитного поля с индукцией 1 мТл. Определить радиус и шаг винтовой линии, по которой будет двигаться электрон в магнитном поле.
70146
Проводник длиной 1,5 м перемещается в однородном магнитном поле с индукцией 0,2 Тл. Движение проводника происходит со скоростью 10 м/с под углом 45° к магнитным силовым линиям. Найдите э.д.с. индукции, возникающую в проводнике.
70223
В однородном магнитном поле под углом 30° к направлению вектора магнитной индукции В, величина которого В = 0,1 Тл, движется проводник длиной L = 2 м со скоростью v = 5 м/с. Проводник перпендикулярен вектору скорости и вектору магнитной индукции. Какова ЭДС индукции в проводнике?
15423
Протон влетает в однородное магнитное поле под углом α = 30° к направлению поля и движется по винтовой линии радиусом R = 1,5 см. Индукция магнитного поля В = 0,1 Тл. Найти кинетическую энергию W протона.
11549
Электрон влетает в однородное магнитное поле под углом 45° к линиям магнитной индукции и движется по винтовой линии с шагом h = 20 мм. Магнитная индукция поля B = 0,01 Тл. Определите импульс частицы.
12577
Альфа-частица, пройдя ускоряющую разность потенциалов Δφ, влетает перпендикулярно силовым линиям, скрещенным под прямым углом, однородным электрическому (E = 10 кВ/м) и магнитному (B = 1 мТл) полям. При каком значении Δφ, альфа-частица не испытает отклонения от своего первоначального направления?
13248Длинный провод с током I = 50 А изогнут под углом φ = 2/3π, так как показано на рисунке 17.8. Определите индукцию магнитного поля в точке А, если d = 5,0 см.

14602В однородном магнитном поле (В = 0,2 Тл), линии которого направлены горизонтально и вправо, подвешен на двух невесомых проволочках горизонтальный проводник (рис.1) длиной
l = 20 см. По нему пропускают ток I
1 (ток направлен на нас), проводник оказывается невесомым. 1) При массе проводника равной 0,04 кг, сила тока I
1, текущего по нему, равна … 2) Если линии

будут направлены вертикально вниз (рис 2), то при угле отклонения от вертикали в α = 30°, сила тока I
2 будет равной ...

14847
В однородном магнитном поле перпендикулярно линиям индукции расположен прямолинейный проводник с электрическим током. Как изменится модуль силы Ампера, действующей на проводник, если его согнуть под острым углом: а) в плоскости, параллельной линиям индукции, б) в плоскости перпендикулярной линиям индукции?
16178
Поток α-частиц (ядер атома гелия), ускоренный разностью потенциалов Δφ = 570000 Вольт, влетает в однородное магнитное поле напряженностью Н = 450000 Ампер/метр. Скорость каждой частицы направлена под прямым углом к направлению магнитного поля. Найти силу F Ньютон, действующую на частицу.
17701
Положительная заряженная частица влетает в одинаково направленное перпендикулярно ее скорости однородное магнитное поле и электрическое поле. Определить, под каким углом к напряженностям полей направлено ее ускорение в этот момент, если скорость частицы 103 м/с, индукция магнитного поля 5∙10–2 Тл, напряженность электрического поля 35 В/м.
17873
Квадратный контур со стороной 10 см находится в однородном магнитном поле с индукцией 0,9 Тл под углом 60° к линиям индукции. В контуре течет ток 5 А. Определить работу, которую нужно совершить, чтобы повернуть контур на угол, соответствующий максимальному потоку через контур и при неизменной силе тока изменить ее форму на окружность.
17953
Протон влетает в однородное магнитное поле под углом 30° к направлению поля и движется по винтовой линии с радиусом 2 см. Индукция поля 0,2 Тл. Найти кинетическую энергию протона.
18203
Оси симметрии длинных цилиндрических одинаковых проволочных катушек расположены в одной плоскости α под углом 120° друг к другу (см. рис). В катушках 1, 2 и 3 протекают токи, сила которых в зависимости от времени t изменяется по соответствующим законам (положительное направление обхода во всех катушках выбрано одинаково, если смотреть из точки пересечения их осей):

Здесь ω = 1000 с
–1 — циклическая частота. Протекание переменного электрического тока амплитудой I
0 приводит к появлению магнитного поля, амплитуда индукции которого в центре катушки (вдали от торцов) равна 0,3 Тл. Ближние торцы катушек расположены симметрично и настолько близко, что поле в зазоре можно считать однородным. В зазор помещают круглый радиуса R = 3 см виток, изготовленный из медного провода диаметром 2 мм в сечении. Плоскость витка β перпендикулярна плоскости а, а нормаль к в составляет произвольный угол с осью одной из катушек. Какой максимальный момент сил нужно прикладывать к витку, чтобы удерживать его в покое? Удельное сопротивление меди равно ρ = 1,72∙10 Ом∙м. Индуктивностью витка пренебречь. Ответ приведите в ньютон-метрах (Н∙м).
18293
Атом водорода помещен во внешнее однородное магнитное поле с индукцией В, причем орбитальный механический момент атома Ll направлен к индукции магнитного поля под углом α. Определите энергию взаимодействия магнитного момента с полем, если электрон в атоме водорода находится в d-состоянии.
19803
В однородном магнитном поле с индукцией В = 2 Тл движется α-частица. Траектория ее движения представляет собой винтовую линию с радиусом R = 2 см и шагом винта h = 6 см. Под каким углом α частица влетела в магнитное поле? Определить кинетическую энергию α-частицы.
19814
Протон, имеющий скорость v = 104 м/с, влетает в однородное магнитное поле с индукцией B = 0,01 Тл. Вектор скорости протона направлен под углом α = 60° к линиям индукции. Определить траекторию движения протона и путь, пройденный им по траектории за время t1 = 10 мкс.
19817
Электрон, ускоренный разностью потенциалов U = 8 кВ, влетает в однородное магнитное поле под углом α = 45° к направлению поля и движется по винтовой траектории. Индукция магнитного поля B = 12 мТл. Определить радиус R и шаг h винтовой траектории.
20182
Прямолинейный проводник массой 3,0 кг, по которому проходит постоянный ток силой 5,0 А, поднимается вертикально вверх в однородном магнитном поле с индукцией 3,0 Тл. Через 2,0 с после начала движения он приобретает скорость 10 м/с. Определите длину проводника, если он расположен под углом 30° к линиям магнитной индукции.
20862
Протон влетел в однородное магнитное поле под углом α = 60 градусов к направлению линий поля и движется по спирали радиуса R = 2,5 см. Индукция магнитного поля В = 0,05 Тл. Найти кинетическую энергию протона.
21076
В однородном магнитном поле с индукцией В = 0,01 Тл под углом φ = 30° к полю расположена медная квадратная рамка со стороной a = 0,5 м. Диаметр провода d = 0,2 мм. Рамку повернули перпендикулярно полю. Какое количество электричества индуцировалось в рамке?
21080
Электрон, влетающий в однородное магнитное поле под углом α = 60° к линиям магнитной индукции, движется по спирали диаметром d = 10 см с периодом обращения Т = 6×10–5 с. Определите скорость электрона, напряженность магнитного поля и шаг спирали.
22133
Определить ЭДС индукции в проводнике длиной l = 20 см, движущемся в однородном магнитном поле с индукцией В = 10 мТл со скоростью v = 1,0 м/с под углом α = 30° к вектору магнитной индукции.
22337
Виток, в котором поддерживается постоянная сила тока I = 15 А, свободно установился в однородном магнитном поле (В = 0,025 Тл). Диаметр витка d = 20 см. Какую работу А нужно совершить для того, чтобы повернуть виток относительно оси, совпадающей с диаметром, на угол α = π?
22450
Протон прошел ускоряющую разность потенциалов U = 800 В и влетел в однородное магнитное поле (В = 20 мТл) под углом α = 30° к линиям магнитной индукции. Определить шаг h и радиус R винтовой линии, по которой будет двигаться протон в магнитном поле.
23497
Положительно заряженная частица, имеющая заряд q = 1,6∙10–19 Кл со скоростью 1 км/с влетает в однородное магнитное поле с магнитной индукцией 10 мТл под углом 30° к силовым линиям поля и движется по винтовой линии радиусом 3,6 мм. Найти массу частицы.
24522
Магнитный момент контура с током (pm = 4 Дж/Тл) параллелен линиям однородного магнитного поля (В = 0,5 Тл). При этом энергия взаимодействия контура с полем равна значению под номером ... 1. 2 Дж; 2. –2 Дж; 3. 1 Дж; 4. –1 Дж.
25080
В однородном магнитном поле (В = 0,01Тл) находится прямой провод длиной l = 8 см, расположенный под углом α = 30° к линиям индукции. По проводу течет ток силой I = 2 А. Под действием сил поля провод переместился на расстояние а = 5 см. Найти совершенную работу сил поля.
70297
Круговой контур помещен в однородное магнитное поле так, что плоскость контура расположена под углом 30° к силовым линиям поля. Напряженность магнитного поля H = 2∙104 А/м. По контуру течет ток силой 2А. Радиус контура 2 см. Какую работу надо совершить, чтобы повернуть контур на 90° вокруг оси, совпадающей с диаметром контура и перпендикулярной к направлению поля? Какая средняя ЭДС индуцируется в контуре, если поворот будет совершен за 12 секунд?
10278
Квадратный контур со стороной a = 10 см, по которому течет ток I = 50 А, свободно установился в однородном магнитном поле (В = 10 мТл). Определить изменение ΔП потенциальной энергии контура при повороте вокруг оси, лежащей в плоскости контура, на угол θ = 180°.
26801
Ион, пройдя ускоряющую разность потенциалов U = 645 В, влетел в скрещенные под прямым углом однородные магнитное (В = 3,5 мТл) и электрическое (E = 300 В/м) поля. Определить отношение заряда иона к его массе, если ион в этих полях движется прямолинейно.
25626
В однородном магнитном поле с индукцией 0,05 Тл перемещается на расстояние 50 см проводник, по которому течет ток 2 А. Проводник расположен под углом 30° к направлению поля; длина проводника 40 см. Перемещение происходит по направлению, перпендикулярному к направлению поля и направлению тока. Определите работу поля по перемещению проводника.