Пример решения задачи 12325
Условие Точечный источник света с длиной волны 0,5 мкм расположен на расстоянии 1 м перед диафрагмой с круглым отверстием радиусом 1 мм. Найти расстояние от диафрагмы до точки наблюдения, находящейся на оси отверстия, для которой число зон Френеля в отверстии равно 3. Темное или светлое пятно получится в центре дифракционной картины, если в месте наблюдения поместить экран?
Краткое условие
λ = 0,5 мкм = 5·10
−7 м
r
k = 1 мм = 10
−3 м
а = 1 м
k = 3
Найти
b ― ?
Решение
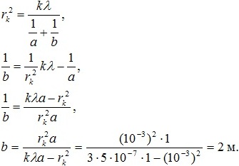
Радиус k-той зоны Френеля для сферической волны определяется по формуле

где а ― расстояние диафрагмы с круглым отверстием от точечного источника света, b ― расстояние диафрагмы от экрана, k ― номер зоны Френеля, λ ― длина волны.

Преобразуем формулу для определения b:
Ответ: b = 2 м, в центре светлое пятно.