газ совершает цикл карно

газ совершает цикл карно

Тестовое задание
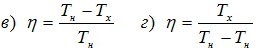
На рисунке изображен цикл, совершаемый с идеальным газом. Какой участок соответствует изобарному нагреву?
а) АВ б) DA в) CD г) ВС
цикл, совершаемый с идеальным газом, в координатах TV
Решение
При изобарном процессе выполняется условие
V/T = const.
Параметры V и T меняются пропорционально отрезкам AB и CD. При этом только на отрезке AB температура увеличивается, то есть газ нагревается.
Ответ:
а) АВ.

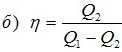
Тестовое задание
Формула для обнаружения реального холодильного коэффициента устройства.
варианты ответа варианты ответа
Решение
Холодильный коэффициент ― это отношение отведенной теплоты к затраченной на это работе.
правильный ответ
где Q1 — теплота, полученная от нагревателя,
Q2 — теплота, отданная охладителю.
Ответ:
б).

10162
Идеальный газ совершает цикл Карно. Температура Т1 теплоотдатчика в четыре раза (n = 4) больше температуры теплоприемника. Какую долю w количества теплоты, полученного за один цикл от теплоотдатчика, газ отдаст теплоприемнику?

10165
Газ, являясь рабочим веществом в цикле Карно, получил от теплоотдатчика теплоту Q1 = 4,38 кДж и совершил работу A = 2,4 кДж. Определить температуру теплоотдатчика, если температура теплоприемника T2 = 273 К.

10166
Газ, совершающий цикл Карно, отдал теплоприемнику 67% теплоты, полученной от теплоотдатчика. Определить температуру T2 теплоприемника, если температура теплоотдатчика T1 = 430 К.

10169
Газ, совершающий цикл Карно, получает теплоту Q1 = 84 Дж. Определить работу А газа, если температура Т1 теплоотдатчика в три раза выше температуры T2 теплоприемника.

10170
Идеальный газ совершает цикл Карно. Температура нагревателя в три раза выше температуры охладителя. Нагреватель предал газу количество теплоты 84 кДж. Какую работу совершил газ?

10171
В цикле Карно газ получил от теплоотдатчика теплоту Q1 = 500 Дж и совершил работу A = 100 Дж. Температура теплоотдатчика T1 = 400 К. Определить температуру T2 теплоприемника.

10645
Газ совершает цикл Карно. Работа изотермического расширения газа А = 5 Дж. Определить работу изотермического сжатия, если термический к. п. д. цикла h = 0,2.

10646
Совершая цикл Карно, газ отдал охладителю теплоту Q2 = 4 кДж. Работа цикла А = 1 кДж. Определить температуру нагревателя, если температура охладителя Т2 = 300 К.

10647
Газ совершает цикл Карно. Абсолютная температура охладителя Т2 = 290 К. Во сколько раз увеличится к. п. д. цикла, если температура нагревателя повысится от Т1' = 400 К до T1" = 600 К?

10649
Совершая цикл Карно, газ получил от нагревателя теплоту Q1 = 1 кДж и совершил работу A = 200 Дж. Температура нагревателя T1 = 375 К. Определить температуру охладителя.

10650
Газ, совершающий цикл Карно, получает от нагревателя теплоту Q1 = 42 кДж. Какую работу совершает газ, если абсолютная температура Т1 нагревателя в три раза выше, чем температура T2 охладителя?

10651
Совершая цикл Карно, газ отдал охладителю 2/3 теплоты, полученной от нагревателя. Определить температуру охладителя, если температура нагревателя T1 = 425 К.

10652
Газ совершает цикл Карно. Температура охладителя T2 = 273 К. Какова температура нагревателя, если за счет каждой килокалории теплоты, полученной от нагревателя, газ совершает работу A = 1,2 кДж?

50097
Кислород массой 1 кг совершает цикл Карно. При изотермическом расширении газа его объем увеличивается в 2 раза, а при последующем адиабатическом расширении совершается работа 3000 Дж. Определить работу, совершенную за цикл.

19593
Идеальный газ совершает цикл Карно с КПД η = 40%. Как и во сколько раз изменится КПД, если температура холодильника повысится на 10%, а температура нагревателя – на 20%?

20500
Идеальный двухатомный газ совершает цикл Карно, график которого изображен на рисунке. Объемы газов в состояниях 2 и 3 равны соответственно V2 = 12 л и V3 = 16 л. Найдите КПД цикла.
Газ совершает цикл Карно, график которого изображен на рисунке

22206
Газ совершает цикл Карно. Температура нагревателя t1 = 200°С, температура холодильника t2 = 10°С. При изотермическом расширении газ совершил работу A = 100 Дж. Определить КПД η цикла, а также теплоту, которую газ отдает холодильнику при изотермическом сжатии.

23324
Идеальный газ совершает цикла Карно. Температура Т1 нагревателя равна 470 К, температура Т2 охладителя равна 280 К. При изотермическом расширении газ совершает работу А = 100 Дж. Определить термический к.п.д. η цикла, а так же количество теплоты Q2, которое газ отдает охладителю при изотермическом сжатии.

23901
Водород совершает цикл Карно. Найти к.п.д. цикла, если при адиабатическом расширении: а) объем газа увеличивается в n = 2,0 раза; б) давление уменьшается в n = 2,0 раза.

24488
Многоатомный идеальный газ совершает цикл Карно, при этом в процессе адиабатического расширения объем газа увеличивается в k = 4 раза. Определите термический КПД цикла.

25066
Двухатомный газ совершает цикл, в котором он сначала изохорно нагревается так, что давление увеличивается в 3 раза, затем давление газа изотермически падает до первоначального и газ возвращается в исходное состояние. Нарисуйте PV-диаграмму цикла и рассчитайте его кпд.

25068
Многоатомный газ совершает цикл, в котором сначала его объем растет прямо пропорционально его давлению, затем газ изохорно охлаждается так, что давление падает до первоначального значения, потом газ изобарно газ возвращается в исходное состояние. Нарисуйте PV-диаграмму цикла и рассчитайте его кпд, если Рmax=2Pmin, Vmax=3Vmin.

10163
Определить работу А2 изотермического сжатия газа, совершающего цикл Карно, КПД которого η = 0,4, если работа изотермического расширения равна А1 = 8 Дж.

10648
Газ совершает цикл Карно. Температура нагревателя T1 = 475 К, охладителя Т2 = 260 К. При изотермическом расширении газ совершил работу А = 100 Дж. Определить термический к. п. д. h цикла, а также теплоту Q2. которую газ отдает охладителю при изотермическом сжатии.

25176
Гелий совершает цикл, в котором он сначала изохорно нагревается так, что давление увеличивается в 1,6 раза, затем давление газа изотермически падает до первоначального и газ возвращается в исходное состояние. Нарисуйте PV-диаграмму цикла и рассчитайте его кпд.