расстояние между двумя точечными
Пример решения задачи 10212
Условие Два точечных заряда Q
1 = 6 нКл и Q
2 = 3 нКл находятся на расстоянии d = 60 см друг от друга. Какую работу необходимо совершить внешним силам, чтобы уменьшить расстояние между зарядами вдвое?
Краткое условие
Q
1 = 6 нКл = 6·10
–9 Кл
Q
2 = 3 нКл = 6·10
–9 Кл
d = 60 см = 0,6 м
d' = d/2
Найти
A ― ?
Решение
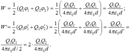
Изобразим заряды на растоянии d друг от друга.

Потенциалы в точках 1 и 2 равны:

где ε
0 = 8,85·10
–12 Ф/м — электрическая постоянная.
Изобразим заряды на растоянии d' друг от друга.

Потенциалы в точках 1' и 2':

Энергия взаимодействия системы зарядов в первом и во втором случае:

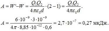
Работа внешних сил равна:
Ответ: А = 0,27мкДж.
13060
Два точечных когерентных источника света находятся в жидкости (n = 1.396) на расстоянии 61 см друг от друга. Найти в мм оптическую разность хода между световыми волнами в точке на расстоянии 162 см от одного из источников по направлению нормали к прямой, соединяющей источники.
70142
По витку радиусом 20 см течет ток 5 А. На оси витка параллельно ему расположена рамка площадью 1 см кв. Какая ЭДС индукции возникнет в рамке при ее перемещении в доль оси со скоростью 0,2 м/с в тот момент, когда расстояние между центрами витка и рамки равно 10 см? Рамку считать точечным диполем.
80263
Два точечных когерентных источника света находятся в жидкости (n = 1.302) на расстоянии 15 см друг от друга. Найти в мм оптическую разность хода между световыми волнами в точке на расстоянии 112 см от одного из источников по направлению нормали к прямой, соединяющей источники.
70142
По витку радиусом 20 см течет ток 5 А. На оси витка параллельно ему расположена рамка площадью 1 см кв. Какая ЭДС индукции возникнет в рамке при ее перемещении в доль оси со скоростью 0,2 м/с в тот момент, когда расстояние между центрами витка и рамки равно 10 см? Рамку считать точечным диполем.
60078
Два точечных положительных заряда 7 и 10 нКл расположены на расстоянии 10 см. Какая сила будет действовать на заряд –3 нКл, расположенный посредине между ними.
12283
Два точечных заряда q1 = 1 нКл и q2 = –2 нКл находятся на расстоянии 0,5 м. По середине между ними помещен некоторый заряд q3 = 2 нКл. Какую работу необходимо совершить, чтобы переместить q3 на расстояние 0,1 м в сторону положительного заряда, вдоль прямой, соединяющей q1 и q2.
12437
Расстояние между двумя точечными зарядами, расположенными в вакууме, равно l = 18 см. Определите напряженность поля в точке А, удаленной от первого заряда на расстояние r1 = 15 см и от второго на r2 = 10 см. Q1 = –3 нКл, Q2 = 4 нКл.
15617
Расстояние d между двумя точечными зарядами q1 = 3 нКл и q2 = 2 нКл равно 50 см. Определите точку, в которую нужно поместить третий заряд q2 так, чтобы система зарядов находилась в равновесии. Определите величину и знак заряда. Устойчивое или неустойчивое будет равновесие?
16387
Расстояние между двумя городами почтовый голубь пролетает при отсутствии ветра за t = 60 мин., а при встречном ветре за время t2 = 75 мин. За какое время t1 голубь преодолеет это расстояние при попутном ветре?
19772
Расстояние между двумя точечными зарядами q1 = –0,33 мкКл и q2 = 0,33 мкКл равно а = 10 см. На каком расстоянии l от заряда q1 результирующее значение напряженности электрического поля равно нулю?
19773
Расстояние d между двумя точечными зарядами q1 = 9 нКл и q2 = 1 нКл равно 8 см. На каком расстоянии от первого заряда находится точка, в которой напряженность поля Е зарядов равна нулю?
19891
Два точечных заряда q1 и q2 находятся на расстоянии l друг от друга. Если расстояние между ними уменьшается на x = 50 см, сила взаимодействия увеличивается в 2 раза. Найдите расстояние l.
23861
Расстояние а между двумя точечными положительными зарядами q1 = 20∙10–8 Кл и q2 = 5∙10–8 Кл равно а = 3 см. На каком расстоянии от первого заряда находится точка, в которой напряженность Е поля зарядов равна нулю?
24404
Два точечных когерентных источника, расстояние между которыми равно 0,35 мм, излучают свет с длиной волны 0,5 мкм и одинаковой начальной фазой. Определить ширину светлых полос на экране, если расстояние от источников до экрана равно 1,5 м.
10191
Расстояние d между двумя точечными зарядами Q1 = 2 нКл и Q2 = 4 нКл равно 60 см. Определить точку, в которую нужно поместить третий заряд Q3 так, чтобы система зарядов находилась в равновесии. Определить заряд Q3 и его знак. Устойчивое или неустойчивое будет равновесие?
10665
Расстояние d между двумя точечными зарядами Q1 = 180 нКл и Q2 = 720 нКл равно 60 см. Определить точку, в которую нужно поместить третий заряд Q3 так, чтобы система зарядов находилась в равновесии. Определить величину и знак заряда. Устойчивое или неустойчивое будет равновесие?
25118
Как изменится сила взаимодействия между двумя точечными зарядами, если расстояние между ними увеличить втрое и поместить в масло.
25127
Построить график зависимости силы взаимодействия между двумя точечными зарядами от расстояния между ними в интервале 2 ≤ r ≤ 10 см через каждые 2 см. Заряды соответственно равны 2∙10–8 Кл и 3∙10–8 Кл.
25345
Два неподвижных точечных заряда q1 = 7,9 нКл и q2 = 2,8 нКл находятся на расстоянии 27 см друг от друга. Между ними на одной линии помещают третий заряд q3 = 7,4 нКл так, что он находится в равновесии. Найдите расстояние от заряда q1 до заряда q3.