Два точечных заряда расположены на расстоянии друг
Пример решения задачи 11291
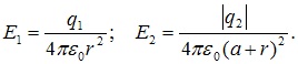
Условие Два точечных заряда q
1 = 1 нКл и q
2 = –3 нКл расположены на расстоянии 20 см друг от друга. Найти напряженность поля в точке, расположенной на продолжении линии, соединяющей заряды на расстоянии 10 см первого заряда.
Краткое условие
q
1 = 1 нКл = 10
–9 Кл
q
2 = -3 нКл = –3·10
–9 Кл
a = 20 см = 0,2 м
r = 10 см = 0,1 м
Найти
E ― ?
Решение
Изобразим точку A на продолжении линии, соединяющей заряды.

Напряженность электрического поля, созданного в точке А каждым из зарядов, соответственно равна:

По принципу суперпозиции полей находим суммарную напряженность в точке А:

или в проекции на ось x

Знак минус означает, что направление результирующего вектора напряженности противоположно направлению оси x.
Ответ: E = –599 В/м.
60286
Почему два одноименно заряженных шара, расположенных на небольшом расстоянии друг от друга, взаимодействуют с меньшей силой, чем при разноименных зарядах?
60363
Два заряда Q1 = –10 нКл и Q2 = 20 нКл расположены на расстоянии 20 см друг от друга. Найти напряженность и потенциал в точке, лежащей посередине между зарядами.
15514
Точечные заряды 2 нКл и –7 нКл расположены на расстоянии 48 см друг от друга. Определить силу, действующую на точечный заряд –9 нКл, находящийся справа на расстоянии 5 см от второго заряда.
11382
Два точечных электрических заряда 60∙10–9 и 2,4∙10–7 Кл находятся в трансформаторном масле на расстоянии 16 см друг от друга. Где между ними следует поместить третий заряд 30∙10–5 Кл, чтобы он под действием электрических сил оставался в равновесии? Будет ли равновесие устойчивым? Нарушится ли равновесие, если изменить величину третьего заряда?
11421
Блоки длиной l = 8 м из некоторого материала расположены на расстоянии d = 2 мм друг от друга при температуре t1 = –10 °C. Чему будет равна сила сжатия, если температура повысится до t2 = 50 °C? Площадь контакта двух блоков равна S = 0,15 м2. Выдержит ли материал такую нагрузку или произойдет разрушение? Ответ обоснуйте? Значения коэффициента линейного теплового расширения α = 0,35∙10–5 °С–1, предела прочности материала на сжатие σ = 170∙106 Н/м, модуля Юнга E = 45∙109 Н/м2.
Пример решения задачи 11670
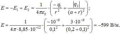
Условие Электрическое поле создано двумя точечными зарядами Q
1 = 10 нКл и Q
2 = –20 нКл, находящимися на расстоянии d = 20 см друг от друга. Определить напряженность E поля в точке, удаленной от первого заряда на r
1 = 30 см и от второго на r
2 = 50 см.
Краткое условие
Q
1 = 10 нКл = 10
–8 Кл
Q
2 = –20 нКл = –2·10
–8 Кл
d = 20 см = 0,2 м
r
1 = 30 см = 0,3 м
r
2 = 50 см = 0,5 м
Найти
E ― ?
Решение
Примем за положительное направление вектора напряжённости поля

, направление вдоль оси х.
Запишем напряжённости полей, созданные отдельно каждым зарядом в точке А.

Суммарная напряжённость в точке А:

Спроецируем последнее векторное уравнение на ось x:
Ответ: Е = –2476 В/м.
11682
Две одинаковые круглые пластины площадью по S = 100 см2 каждая расположены параллельно друг другу. Заряд Q1 одной пластины равен +100 нКл, другой Q2 = –100 нКл. Определить силу F взаимного притяжения пластин в двух случаях, когда расстояние между ними: 1) r1 = 2 см; 2) r2 = 10 м.
11689
Поле создано двумя точечными зарядами +2Q и –Q, находящимися на расстоянии d = 12 см друг от друга. Определить геометрическое место точек на плоскости, для которых потенциал равен нулю (написать уравнение линии нулевого потенциала).
11697
Точечные заряды Q1 = 1 мкКл и Q2 = 0,1 мкКл находятся на расстоянии r1 = 10 см друг от друга. Какую работу А совершат силы поля, если второй заряд, отталкиваясь от первого, удалится от него на расстояние: 1) r2 = 10 м; 2) r3 = ∞?
12115
Два точечных разноименных заряда величиной 4 и -4 нКл находятся на расстоянии 6 см друг от друга в воздухе. Найти напряженность и потенциал электростатического поля в точке, находящейся на расстоянии 6 см от каждого заряда.
12674
Два точечных заряда, находясь в воздухе (ε1 = 1) на расстоянии r1 = 20 см друг от друга, взаимодействуют с определенной силой. На какое расстояние необходимо поместить эти заряды в воду (ε2 = 80,4), чтобы получить в десять раз большую силу взаимодействия.
12723
Два точечных заряда, находясь в воздухе (ε = 1) на расстоянии r1 = 20 см друг от друга, взаимодействуют с определенной силой. На какое расстояние необходимо поместить эти заряды в ацетон (ε = 21,5), чтобы получить вдвое большую силу взаимодействия.
12849
Два точечных заряда, находясь в воздухе (ε = 1) на расстоянии r1 = 20 см друг от друга, взаимодействуют с определенной силой. На какое расстояние необходимо поместить эти заряды в трансформаторное масло (ε = 2,2), чтобы получить ту же силу взаимодействия.
13567
Положительные точечные заряды q и 2q расположены на расстоянии l друг от друга. Каким должен быть заряд Q (по модулю и по знаку) и в какой точке его надо расположить, чтобы все три заряда находились в равновесии? Будет ли это равновесие устойчивым?
14584В вакууме на расстоянии r = 10 см друг от друга расположены два точечных заряда q
1 = 8 нКл и q
2 = –6 нКл. Расстояние АВ = 5 см, ε = 1. Найдите напряженность суммарного электрического поля в точке В, (см. рис.), лежащей на серединном перпендикуляре.

14599В вакууме на расстоянии r = 10 см друг от друга расположены два точечных заряда q
1 = 8 нКл и q
2 = –6 нКл. Расстояние АВ = 5 см, ε = 1. Чему равно отношение потенциалов полей φ
А/φ
В , созданных зарядами в точках А и В?

14633В вакууме на расстоянии r = 10 см друг от друга расположены два точечных заряда q
1 = –10 нКл и q
2 = 6 нКл. Расстояние АВ = 5 см, ε = 1. Чему равен потенциал результирующего поля в точке В?

15283
Два проводящих шара, радиусы которых R1 = 20 мм и R2 = 80 мм, находятся на большом расстоянии друг от друга. Заряд первого шара равен q = 20 мКл, второй шар не заряжен. Их соединили проводником. Чему станет равным заряд первого шара?
15285
Две непроводящие вертикально расположенные параллельные заряженные пластины находятся на расстоянии d = 50 см друг от друга. Напряженность поля между ними равна Е = 10–5 В/м. Между пластинами на равном расстоянии от них помещен шарик с зарядом q = 10–5 Кл и массой m = 10 г. После того, как шарик отпустили, он начинает падать. Какую скорость v шарик имел перед ударом о пластину?
16388
В вакууме на расстоянии r = 10 см друг от друга расположены два точечных заряда q1 = 8 нКл и q2 = –6 нКл. Напряженность суммарного поля в точке А, равноудаленной от зарядов, равна ... кВ/м.
16448
Два шарика массами m1 = 50 г и m2 = 100 г с отверстиями вдоль диаметра насажены на стержень и связаны друг с другом нитью так, что расстояние между их центрами L = 20 см. Стержень помещен на центробежную машину с осью вращения перпендикулярно стержню. На каком расстоянии x от оси вращения надо расположить больший шарик, чтобы при вращении стержня шарики остались в равновесии?
16948
Как изменится оптическая разность хода, если два точечных когерентных источника света, находящихся на расстоянии d = 1,5 см друг от друга в воздухе, поместить в сероуглерод (n = 1,63)? Задачу решить для точки, лежащей на расстоянии s = 30 см от одного из источников по направлению нормали к прямой, соединяющей источники.
17099
Две катушки расположены на небольшом расстоянии друг от друга. Когда сила тока в первой катушке изменяется со скоростью dI1/dt = 5 А/с, во второй катушке возникает ЭДС индукции ε2 = 0,1 В. Определить: коэффициент взаимной индукции катушек; магнитный поток, сцепленный со второй катушкой, в момент времени t = 2 с, считая, что при t = 0 ток в первой катушке I0 = 2 А.
17518
Два разноименных точечных заряда находятся на расстоянии 1 см друг от друга. По величине второй заряд в 3 раза больше первого. Величина напряженности электрического поля в точке, лежащей посередине между зарядами, равна 2 кВ/м. Найти потенциал этой точки и точки, расположенной на расстоянии 5 см вправо от большего заряда.
17588
Два точечных разноименных заряда находятся на расстоянии 20 см друг от друга. При сближении их на 10 см поле совершает работу равную 5 мкДж. Какую работу нужно затратить, чтобы раздвинуть эти заряды на расстояние 30 см от их первоначального положения?
17762
На оси ОХ симметрично относительно начала координат на расстоянии a = 0,15 м от него расположены два одинаковых точечных заряда Q = 2,0 нКл. Вдоль оси O? движется маленький заряженный шарик массой m = 25 мкг и зарядом q = 1,4 нКл. В точке с координатой y1 его скорость v1 = 2,0 м/с, а в точке с координатой у2 = 0,3 м — равна v2 = 4,0 м/с. Найти y1.
17763
На оси ОХ симметрично относительно начала координат на расстоянии a = 0,1 м от него расположены два одинаковых точечных заряда Q = 2,0 нКл. Вдоль оси O? движется маленький заряженный шарик массой m = 20 мкг и зарядом q = 1,5 нКл. В точке с координатой y1 = 0,0 м его скорость v1 = 0,01 м/с, а в точке с координатой у2 = 0,1 м — равна v2. Найти v2.
17764
На оси ОХ симметрично относительно начала координат на расстоянии a = 0,2 м от него расположены два одинаковых точечных заряда Q = 1,5 нКл. Вдоль оси O? движется маленький заряженный шарик массой m = 50 мкг и зарядом q = 2,0 нКл. В точке с координатой y1 = 0,3 м его скорость v1, а в точке с координатой у2 = 1,0 м — равна v2 = 5,0 м/с. Найти v1.
17765
На оси ОХ симметрично относительно начала координат на расстоянии a = 0,3 м от него расположены два одинаковых точечных заряда Q = 2,5 нКл. Вдоль оси O? движется маленький заряженный шарик массой m = 10 мкг и зарядом q = 3,0 нКл. В точке с координатой y1 = 0,2 м его скорость v1 = 2,00 м/с, а в точке с координатой у2 — равна v2 = 5,0 м/с. Найти y2.
17766
На оси ОХ симметрично относительно начала координат на расстоянии a = 0,12 м от него расположены два одинаковых точечных заряда Q. Вдоль оси O? движется маленький заряженный шарик массой m = 40 мкг и зарядом q = 1,2 нКл. В точке с координатой y1 = 0,16 м его скорость v1 = 1,0 м/с, а в точке с координатой у2 = 0,3 м — равна v2 = 3,0 м/с. Найти Q.
17767
На оси ОХ симметрично относительно начала координат на расстоянии a = 0,07 м от него расположены два одинаковых точечных заряда Q = 2,5 нКл. Вдоль оси O? движется маленький заряженный шарик массой m и зарядом q = 2,0 нКл. В точке с координатой y1 = 0,07 м его скорость v1 = 2,0 м/с, а в точке с координатой у2 = 0,2 м — равна v2 = 5,0 м/с. Найти m.
17768
На оси ОХ симметрично относительно начала координат на расстоянии a = 0,1 м от него расположены два одинаковых точечных заряда Q = 1,2 нКл. Вдоль оси O? движется маленький заряженный шарик массой m = 60 мкг и зарядом q. В точке с координатой y1 = 0,15 м его скорость v1 = 3,0 м/с, а в точке с координатой у2 = 0,3 м — равна v2 = 10,0 м/с. Найти q.
17769
На оси ОХ симметрично относительно начала координат на расстоянии a = 0,14 м от него расположены два одинаковых точечных заряда Q = 1,5 нКл. Вдоль оси O? движется маленький заряженный шарик массой m = 70 мкг и зарядом q = 3,0 нКл. В точке с координатой y1 = 0,1 м его скорость v1 = 1,0 м/с, а в точке с координатой у2 = 0,3 м — равна v2. Найти v2.
17770
На оси ОХ симметрично относительно начала координат на расстоянии a = 0,2 м от него расположены два одинаковых точечных заряда Q = 0,5 нКл. Вдоль оси O? движется маленький заряженный шарик массой m = 80 мкг и зарядом q = 4,0 нКл. В точке с координатой y1 = 0,0 м его скорость v1 = 0,5 м/с, а в точке с координатой у2 — равна v2 = 3,0 м/с. Найти у2.
17771
На оси ОХ симметрично относительно начала координат на расстоянии a = 0,25 м от него расположены два одинаковых точечных заряда Q = 2,0 нКл. Вдоль оси O? движется маленький заряженный шарик массой m = 40 мкг и зарядом q. В точке с координатой y1 = 0,1 м его скорость v1 = 4,0 м/с, а в точке с координатой у2 = 0,5 м — равна v2 = 8,0 м/с. Найти q.
19778В вакууме на расстоянии r = 10 см друг от друга расположены два точечных заряда q
1 = 8 нКл и q
2 = –6 нКл. Расстояние АВ = 5 см, ε = 1. Во сколько раз отличаются значения напряженности суммарного электрического поля в точках А и В?

19877
Два одинаковых проводящих шарика с зарядами q и 3q расположены на расстоянии r друг от друга в вакууме. Шарики приводят в соприкосновение, после чего располагают на расстоянии r/3 в диэлектрической среде с проницаемостью ε = 2. Рассчитайте, как и во сколько раз изменится при этом сила, с которой один шарик действует на другой.
20725В вакууме на расстоянии r = 10 см друг от друга расположены три точечных заряда q
1 = 8 нКл, q
2 = 6 нКл и q
3 = –2 нКл. Расстояние АВ = 5 см, ε = 1. Чему равна энергия заряда q
3?

21382
Два разноименных точечных заряда q и –4q находятся на расстоянии а друг от друга. Каким должен быть третий заряд Q и где следует его расположить, чтобы вся система находилась в равновесии?
21500
Два заряда находятся на расстоянии 1 см друг от друга и отталкиваются с силой 1 Н. Суммарный заряд системы 0,4 мкКл. Найти величины зарядов. Определить энергию системы зарядов.
22477Два одинаковых положительных заряда +q закреплены на расстоянии 2а друг от друга. Такой же по величине отрицательный заряд –q массой m удерживается в положении, показанном на рисунке. Какую наибольшую скорость может приобрести этот заряд, если его отпустить? (Силу тяжести не учитывайте) .

22546
Два неподвижных положительных заряда величиной 1,6∙10–19 Кл расположены и закреплены на расстоянии 0,2 м друг от друга. Вдоль перпендикуляра, проходящего через середину отрезка, соединяющего эти заряды, движется электрон. В какой точке этого перпендикуляра сила взаимодействия электрона и системы неподвижных зарядов максимальна?
23673
Два точечных заряда q и 4q расположены на расстоянии l друг от друга. На каком расстоянии от первого заряда напряженность электрического поля равна нулю?
25346
Два точечных заряда q1 = 8,3 нКл и q2 = –2,3 нКл расположены в вакууме на расстоянии 6,3 см друг от друга. Найдите точку на прямой, соединяющей эти заряды, потенциал в которой равен нулю. Укажите расстояние от заряда q1 до этой точки (в сантиметрах).
25658
Два положительных заряда q1 = 16 нКл и q2 = 25 нКл расположены на расстоянии d = 5 см друг от друга. Куда и на каком расстоянии x от 1-го заряда надо поместить третий заряд, чтобы суммарная действующая на него сила была равна нулю?
25672
Два точечных заряда по 2·10–9 Кл каждый расположены на расстоянии 50 см друг от друга. Сделать чертеж и определить напряженность поля в точке, расположенной на расстоянии 30 см от одного заряда и 40 см от другого. Среда вакуум.