бесконечная заряженная плоскость равномерно
13401
На некотором расстоянии от бесконечной равномерно заряженной плоскости с поверхностной плотностью σ = 0,1 нКл/см2 размещена круглая пластинка. Угол между плоскостью пластинки и линиями напряженности равен 30°. Найти поток Ф вектора E напряженности через эту пластинку, если ее радиус r = 15 см.
11695Электрическое поле создано бесконечно длинным равномерно заряженным (σ = 0,1 мкКл/м
2) цилиндром радиусом R = 5 см. Определить изменение ΔП потенциальной энергии однозарядного положительного иона при перемещении его из точки 1 в точку 2.

12099
Определить силу взаимодействия бесконечной плоскости и тонкого диска диаметром 6 см, если они заряжены с одинаковой плотностью 3 нКл/см2.
14772
К вертикальной бесконечной равномерно заряженной плоскости прикреплена нить с одноименно заряженным шариком. Как изменится угол отклонения нити при равновесии, если заряд и массу шарика удвоить?
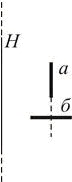
14800Вблизи бесконечно длинной равномерно заряженной нити H расположен равномерно заряженный короткий стержень.

Сравнить силы, действующие на стержень в положениях а и б.
14817Вблизи бесконечной, прямолинейной и равномерно заряженной нити мысленно построена замкнутая поверхность, имеющая форму цилиндра, соосного с нитью. Как изменится поток вектора напряженности электрического поля через боковую поверхность цилиндра, если обрезать нить около оснований снаружи цилиндра?

14818Вблизи равномерно заряженной бесконечной плоскости построен воображаемый цилиндр с основаниями параллельными плоскости, так что плоскость пересекает этот цилиндр. Как изменится поток вектора напряженности электрического поля через поверхность цилиндра, если его немного наклонить?

15047
Маленький шарик с зарядом 10–10 Кл находится в поле равномерно заряженной бесконечной плоскости. На каждые 400 см2 площади плоскости распределен заряд 6 мкКл. Определить силу их взаимодействия.
15953
Плоская квадратная пластина со стороной длиной а, равной 10 см, находится на некотором расстоянии от бесконечной равномерно заряженной (σ = 1 мкКл/м2) плоскости. Плоскость пластины составляет угол β = 30° с линиями поля. Найти поток Ψ электрического смещения через эту пластину.
24262
Чему равен потенциал на расстоянии 2 м от равномерно заряженного шарика с зарядом 2∙10–8 Кл?