Давление газа в баллоне

Давление газа в баллоне

Пример решения задачи
Условие Баллон емкостью 10 л заполнен водородом при температуре 17° С. После того, как часть водорода израсходовали, давление в баллоне снизилось на 40 Н/м2. Сколько граммов водорода потратили.
Краткое условие
V = 10 л = 0,010 м3
T = 17+273 = 290 К
Δp = 40 Н/м2
Найти
m ― ?
Решение
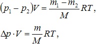
Запишем уравнение Менделеева-Клапейрона для начального и конечного состояний газа:
уравнение Менделеева-Клапейрона для начального и конечного состояний газа
где p1 и p2 ― давление газов в начальном и конечном состоянии,
V ― объем,
m1 и m2 ― начальная и конечная масса газа,
M = 0,002 кг/моль — молярная масса водорода,
R = 8,31 Дж/(К∙моль) ― молярная газовая постоянная,
Т ― термодинамическая температура.
Вычтем из первого уравнения второе:
преобразование уравнений
где Δp = p1 – p2, m = m1 – m2.
вычисление массы
Ответ
m = 332 мкг.

10119
В сосуде вместимостью V = 40 л находится кислород при температуре T = 300 К. Когда часть газа израсходовали, давление в баллоне понизилось на δр = 100 кПа. Определить массу m израсходованного кислорода. Процесс считать изотермическим.

10594
Баллон емкостью V = 50 л заполнен кислородом. Температура кислорода Т = 300 К. Когда часть кислорода израсходовали, давление в баллоне понизилось на Δр = 200 кПа. Определить массу израсходованного кислорода. Процесс считать изотермическим.

19485
Из баллона со сжатым водородом емкостью 10 л вследствие неисправности вентиля утекает газ. При температуре 7° С манометр показывает 50 атм. Через некоторое время при температуре 17° С манометр показал такое же давление. Какая масса газа утекла из баллона?

50255
Сосуд объемом 10 л содержит гелий под давлением 1 МПа и при температуре 300 К. После того, как из баллона выпущено 10 г гелия, температура в баллоне понизилась до 290 К.Определить давление гелия, оставшегося в баллоне.

50339
Определить массу газа, находящегося в баллоне емкостью 25 л при температуре –23 °С и давлении 2,026∙105 Па. Плотность газа при нормальных условиях 2 кг/м3.

50358
Из баллона со сжатым водородом емкостью 10 л вследствие неисправности вентиля утекает газ. При температуре 280 К манометр показывал 490 кПа. Через некоторое время при температуре 290 К манометр показал такое же давление. Сколько утекло газа?

50408
Какая масса метана (СН4) содержится в баллоне объемом V = 20 л под давлением P = 20 МПа при температуре t = 27°С?

10108
В баллоне вместимостью V = 3 л содержится кислород массой m = 10 г. Определить концентрацию n молекул газа.

10594
Баллон емкостью V = 50 л заполнен кислородом. Температура кислорода Т = 300 К. Когда часть кислорода израсходовали, давление в баллоне понизилось на Δр = 200 кПа. Определить массу израсходованного кислорода. Процесс считать изотермическим.

11456
В баллонах вместимостью V1 = 20 л и V2 = 44 л содержится газ. Давление в первом баллоне p1 = 2,4 МПа, во втором — p2 = 1,6 МПа. Определить общее давление р и парциальные p'1 и p'2 после соединения баллонов, если температура газа осталась прежней.

12413
В баллоне объемом V = 7 л находится газ под давлением р1 = 4,5 МПа при температуре Т1 = 350 °С. После того, как из баллона было взято m = 20 г граммов газа, температура в баллоне понизилась до Т2 = 290 °С. Определить давление газа, оставшегося в баллоне. Газ — H2.

18300
В баллоне объемом 16,62 м3 находятся 14 кг азота при температуре 300 К. Каково давление этого газа? Ответ выразите в килопаскалях.

21103
Метан (СН4) массой 1,2 кг находится в 40-литровом баллоне, стенки которого рассчитаны на максимальное давление 5,0 МПа. Допустимо ли нагревание баллона до 60 °С?

21721
Манометр на баллоне со сжатым газом при температуре 291 К показывает давление 8,4 МПа. Какое давление он будет показывать, если температура понизится до 250 К? Изменением емкости баллона вследствие охлаждения пренебречь.

22416
Из баллона выпустили половину газа, при этом температура понизилась от +127 до –73 °С. Во сколько раз понизилось давление в баллоне?

24571
Из баллона объемом V = 60 л, содержащего азот при температуре t1, выпускается часть газа столь быстро, что теплообмен газа в баллоне с атмосферой за время выпуска не успевает произойти. Сразу после закрытия крана температура газа в баллоне t2 = –15°C, давление p2 = 3,7 МПа. Масса выпущенного азота m = 1,12 кг. Определить температуру t1.

10112
В баллоне находится газ при температуре Т1 = 400 К. До какой температуры Т2 надо нагреть газ, чтобы его давление увеличилось в 1,5 раза?

10113
Баллон вместимостью V = 20 л заполнен азотом при температуре T = 400 К. Когда часть газа израсходовали, давление в баллоне понизилось на δр = 200 кПа. Определить массу m израсходованного; газа. Процесс считать изотермическим.

10114
В баллоне вместимостью V = 15 л находится аргон под давлением p1 = 600 кПа и при температуре T1 = 300 К. Когда из баллона было взято некоторое количество газа, давление в баллоне понизилось до р2 = 400 кПа, а температура установилась T2 = 260 К. Определить массу m аргона, взятого из баллона.

26811
Манометр на баллоне с газом в помещении с температурой t1 = 17°C показывает давление p = 240 кПа. На улице показания манометра уменьшились на Δp = 40 кПа. Найти температуру tв воздуха на улице, если атмосферное давление равно 0,1 МПа.

25343
В баллоне вместимостью 0,1 л находится кислород (О2) массой 128 г при температуре 290 К. Определите давление газа и величину коэффициента Пуассона для этого газа (γ = Ср/Cv).