совершающей гармонические колебания амплитудой
Пример решения задачи 10077
Условие Материальная точка совершает простые гармонические колебания так, что в начальный момент времени смещение x
0 = 4 см, а скорость v
0 = 10 см/с. Определить амплитуду А и начальную фазу φ
0 колебаний, если их период Т = 2 с.
Краткое условие
x
0 = 4 см = 0,04 м
v
0 = 10 см/с = 0,1 м
Т = 2 с
Найти
А ― ?
φ
0 ― ?
Решение
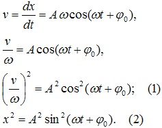
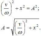
Простые гармонические колебания можно описать уравнением:

где ω = 2π/Т.
Продифференцируем обе части равенства по времени:

Сложим равенства (1) и (2) почленно:

Подставим в это уравнение начальные условия:

Из первого уравнения выразим φ
0:

Подставим начальные условия: при t=0 x=x
0.
Ответ: А = 5,1 см; φ
0 = 0,9 рад.
13638
Точка совершает гармонические колебания с амплитудой А = 10 см и периодом Т = 5 с. Определите для точки: 1) максимальную скорость; 2) максимальное ускорение.
13642
Определите максимальные значения скорости и ускорения точки, совершающей гармонические колебания с амплитудой А = 3 см и периодом T = 4 с.
13643
Материальная точка, совершающая гармонические колебания с частотой v = 1 Гц, в момент времени t = 0 проходит положение, определяемое координатой x0 = 5 см, со скоростью v0 = 15 см/с. Определите амплитуду колебаний.
17061
Доска с лежащим на ней бруском совершает горизонтальные гармонические колебания с амплитудой a = 10 см. Найти коэффициент трения между доской и бруском, если брусок начинает скользить по доске, когда ее период колебания меньше Т = 1,0 c.
40035
Материальная точка массой m = 5 г совершает гармонические колебания с частотой ν = 0,5 Гц. Амплитуда колебаний А = 3 см. Определить; 1) скорость v точки в момент времени, когда смещение х = 1,5 см; 2) максимальную силу Fmax, действующую на точку; 3) полную энергию E колеблющейся точки.
40544
За какую часть периода точка, совершающая гармонические колебания, пройдет путь, равный 0,828 А, где А — амплитуда колебаний, если в начальный момент точка находилась в положении равновесия?
40636
Материальная точка массой m = 10 г совершает гармонические колебания с частотой v = 0,2 Гц. Амплитуда колебаний равна 5 см. Определить: 1) максимальную силу, действующую на точку; 2) полную энергию колеблющейся точки.
40647
Найти максимальную кинетическую энергию Тmax материальной точки массой m = 2 г, совершающей гармонические колебания с амплитудой А = 4 см и частотой ν = 5 Гц.
40683
Определить максимальную скорость материальной точки, совершающей гармонические колебания с амплитудой А = 20 см, если наибольшее ускорение amax = 30 см/с2. Написать также уравнение колебаний.
40740
Материальная точка массой 2 г совершает гармонические колебания. Найти круговую частоту, период, фазу колебаний в момент времени, когда смещение точки равно 5 см, скорость ее 20 м/с и ускорение 80 см/с2 . Определить амплитуду и полную энергию колеблющейся точки.
11306Определить максимальные значения скорости
max и ускорения
max точки, совершающей гармонические колебания с амплитудой А = 3 см и угловой частотой ω = π/2 с
–1.
11309Максимальная скорость
max точки, совершающей гармонические колебания, равна 10 см/с, максимальное ускорение
max = 100 см/с
2. Найти угловую частоту ω колебаний, их период Т и амплитуду А. Написать уравнение колебаний, приняв начальную фазу равной нулю.
26716
Точка совершает гармонические колебания. В некоторый момент времени смещение точки x = 5 см, скорость ее v = 0,2 м/с и ускорение a = –0,8 м/с2. Найти циклическую частоту, период колебаний, фазу и амплитуду колебаний в рассматриваемый момент времени.
12874
Материальная точка, совершающая гармонические колебания с частотой ν = 1 Гц, в момент времени t = 0 проходит положение, определяемое координатой х0 = 5 см, со скоростью v0 = –15 см/с. Определите амплитуду колебаний.
12875
Материальная точка, совершающая гармонические колебания с частотой ν = 2 Гц, в момент времени t = 0 проходит положение, определяемое координатой х0 = 6 см, со скоростью v0 = 14 см/с. Определите амплитуду колебаний.
14912
Горизонтально расположенная доска совершает гармонические колебания в горизонтальной плоскости с периодом, равным 4 с. Лежащее на ней тело начинает скользить, когда амплитуда колебания достигает величины 60 см. Каков коэффициент трения покоя между грузом и доской?
15722
Тело совершает гармонические колебания. Период колебаний Т = 0,15 с, максимальная скорость v = 8 м/с. Определить амплитуду колебаний.
15968
За 2 мин. груз на пружине совершил 80 колебаний с амплитудой 8 см. Найдите наибольшие значения скорости и ускорения движения груза.
16416
Точечная частица совершает гармонические колебания вдоль оси Оx. В некоторый момент времени частица имеет координату x1 = 3 см, скорость vx1 = 8 см/с и ускорение ax1 = –12 см/с2. Определите амплитуду, циклическую частоту и период колебаний. Начало координат совпадает с положением равновесия частицы.
17917
Груз подвешенный на пружине жесткостью 50 Н/м, совершает гармонические колебания с периодом 2,5 с. В начальный момент времени смещение груза оказалось равным нулю, а его начальная скорость (–0,3 м/с). Вычислите амплитуду и начальную фазу колебаний. Напишите уравнение колебаний груза. Постройте график зависимости кинетической энергии от времени.
20121
Материальная точка совершает гармонические колебания с периодом 3 с, амплитудой 5 см и начальной фазой, равной нулю. Найти скорость точки в момент времени, когда смещение ее из положения равновесия равно 2,5 см.
20790
Максимальная скорость точки, совершающей гармонические колебания равна υ = 10 см/с, максимальное ускорение а = 100 см/с2. Найти угловую частоту ω колебаний, их период T и амплитуду A.
22188
За какую часть периода точка, совершающая гармонические колебания, пройдет путь, равный 0,583А, где А – амплитуда колебаний, если в начальный момент точка находилась в положении равновесия?
22558
Материальная точка совершает гармонические колебания с амплитудой 10 см и периодом 2 с. В начальный момент времени смещение точки от положения равновесия равно половине амплитуды. Определить фазу для момента времени, когда ускорение точки равно 0,6 м/с2. Определить этот момент времени.
23576
Материальная точка, совершающая гармонические колебания, в некоторый момент времени имеет смещение х = 0,04 м, скорость v = 0,05 м/с и ускорение а = 0,80 м/с2. Определить: 1) амплитуду Х0 и период Т0 колебаний; 2) ее фазу колебаний φ в рассматриваемый момент времени; 3) максимальные скорость vmax и ускорение amax, 4) время прохождения пути S = Х0/2 при движении материальной точки из положения равновесия.
23577
Материальная точка совершает гармонические колебания с амплитудой X0 = 0,02 см и частотой ν0 = 500 Гц. Определить средние и максимальные значения скорости υ и ускорения а точки при ее движении из крайнего положения до положения равновесия.
24028
Амплитуда скорости материальной точки, совершающей гармоническое колебание, равна 4 см/с, а амплитуда ускорения 16 см/с2. Найти амплитуду смещения и циклическую частоту колебаний.
24376
Груз массой m = 500 г, подвешенный на пружине жесткостью k = 100 Н/м, совершает гармонические колебания с энергией E = 1 Дж. Найти период колебаний, их амплитуду и максимальную скорость груза.
24974
Материальная точка совершает гармонические колебания вдоль оси Ох с циклической частотой ω и амплитудой А. Получите зависимости проекций скорости νx и ускорения ах от смещения х. Представьте эти зависимости графически. Начало координат совпадает с положением равновесия частицы.